I2Mo2O2
MatHub2d-1519-I2Mo2O2
| Property |
Value |
| Space group |
(59, 'Pmmn') |
| Crystal system |
rectangular |
| Magnetic |
Yes |
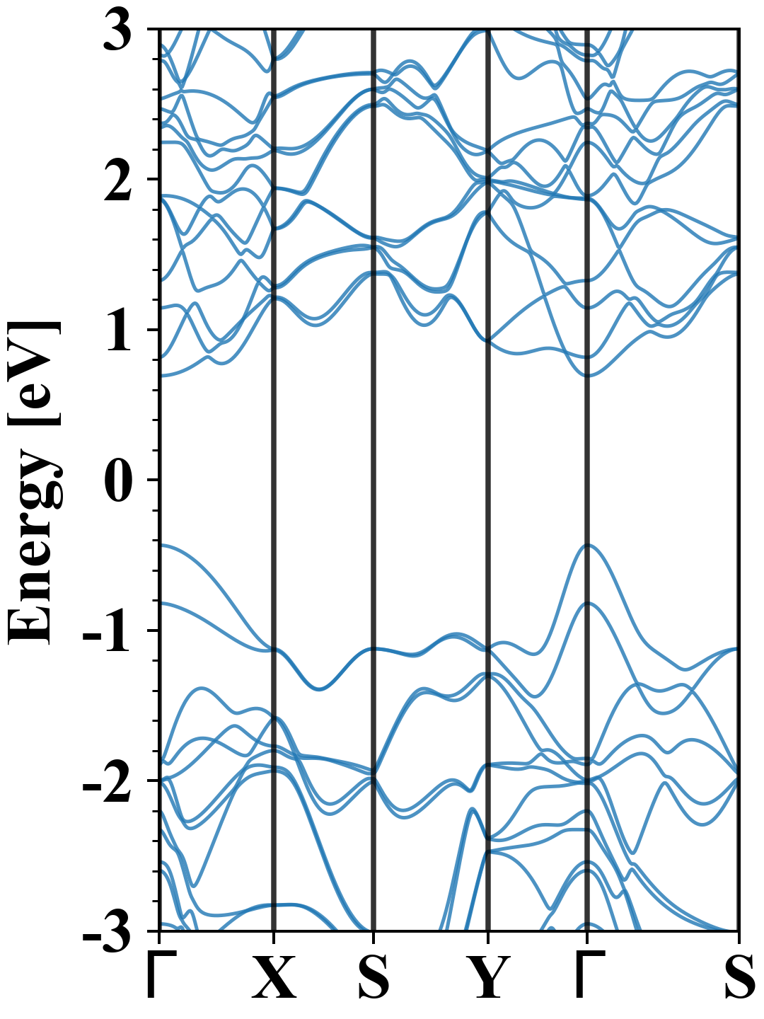
| Band gap (PBE) (eV) |
0.00 |
| Free energy (eV) |
-35.552 |
| Free energy / atom (eV) |
-5.925 |
Lattice Parameters (basic)
| a, b, c (Å): | 3.324 | 4.045 | 30.000 |
| α, β, γ (°): | 90.000 | 90.000 | 90.000 |
Lattice Parameters (computed)
| a, b, c (Å): | 3.652 | 4.199 | 30.000 |
| α, β, γ (°): | 90.000 | 90.000 | 90.000 |
| Property |
Value |
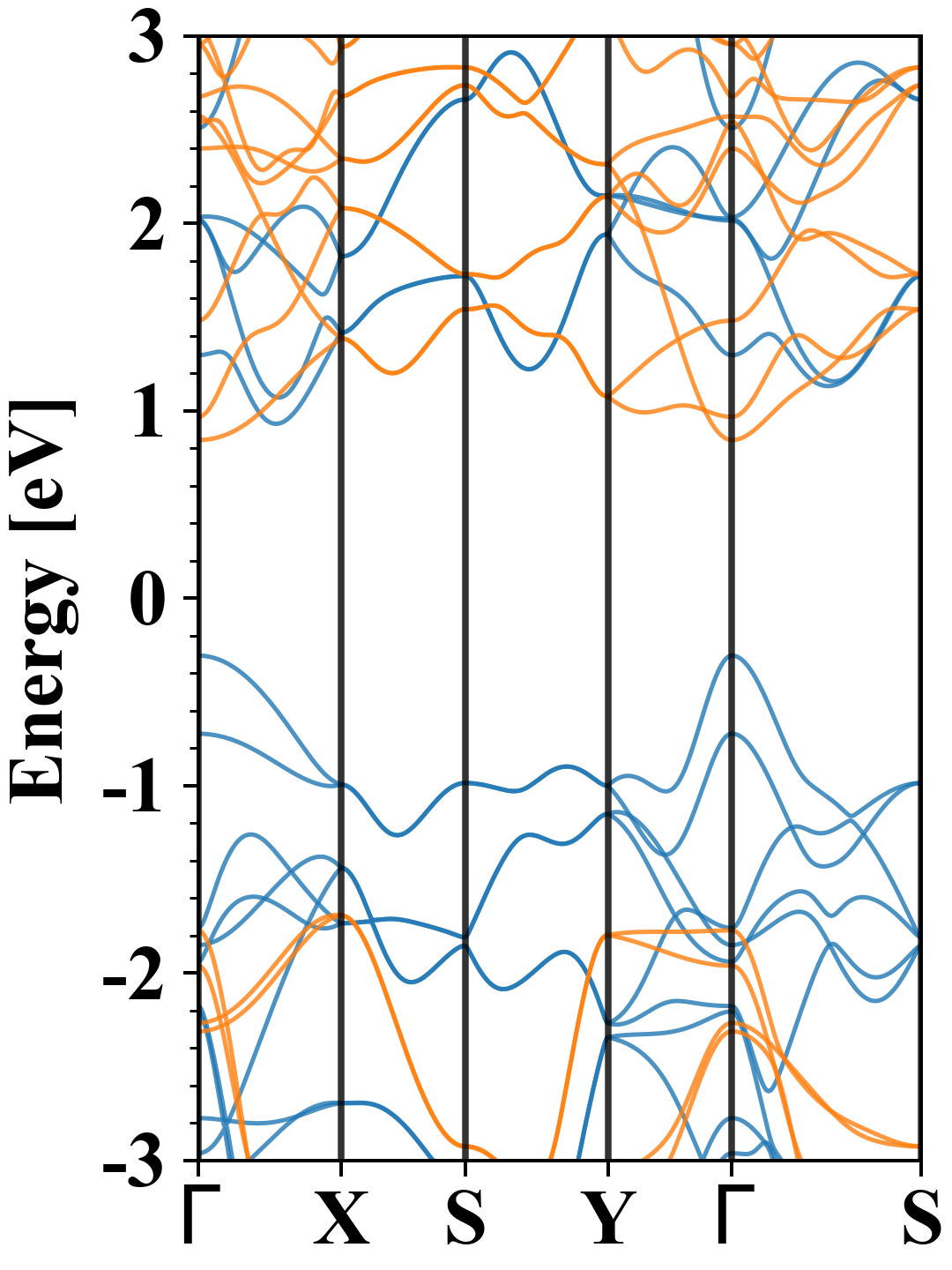
| Band gap |
0.00 eV |
| E-fermi |
-1.271 eV |
| Vacuum level |
2.955 eV |
| VBM |
-1.577 eV |
| CBM |
-0.427 eV |
| Work function |
4.226 eV |
| Direct gap |
Yes |
| Property |
Value |
| Band gap |
1.13 eV |
| E-fermi |
-1.110 eV |
| VBM |
-1.544 eV |
| CBM |
-0.418 eV |
| Free energy (eV) |
-36.015 |
| Free energy / atom (eV) |
-6.003 |
| Property |
Value |
| Band gap |
0.00 eV |
| E-fermi |
-1.271 eV |
| Vacuum level |
2.955 eV |
| VBM |
-1.577 eV |
| CBM |
-0.427 eV |
| Work function |
4.226 eV |
| Cij (N/m) |
xx |
yy |
xy |
| xx |
7.286 |
-45.959 |
0.000 |
| yy |
-45.959 |
-63.103 |
0.000 |
| xy |
0.000 |
0.000 |
-27.784 |
| Phonon mode at Γ point (THz) |
| Property |
Value |
| from where |
c2db-233 |