I2Mn2Se2
MatHub2d-1517-I2Mn2Se2
| Property |
Value |
| Space group |
(59, 'Pmmn') |
| Crystal system |
rectangular |
| Magnetic |
Yes |
| Band gap (PBE) (eV) |
0.00 |
| Free energy (eV) |
-27.123 |
| Free energy / atom (eV) |
-4.521 |
Lattice Parameters (basic)
| a, b, c (Å): | 3.784 | 5.177 | 30.000 |
| α, β, γ (°): | 90.000 | 90.000 | 90.000 |
Lattice Parameters (computed)
| a, b, c (Å): | 3.896 | 5.248 | 30.000 |
| α, β, γ (°): | 90.000 | 90.000 | 90.000 |
| Property |
Value |
| Band gap |
0.00 eV |
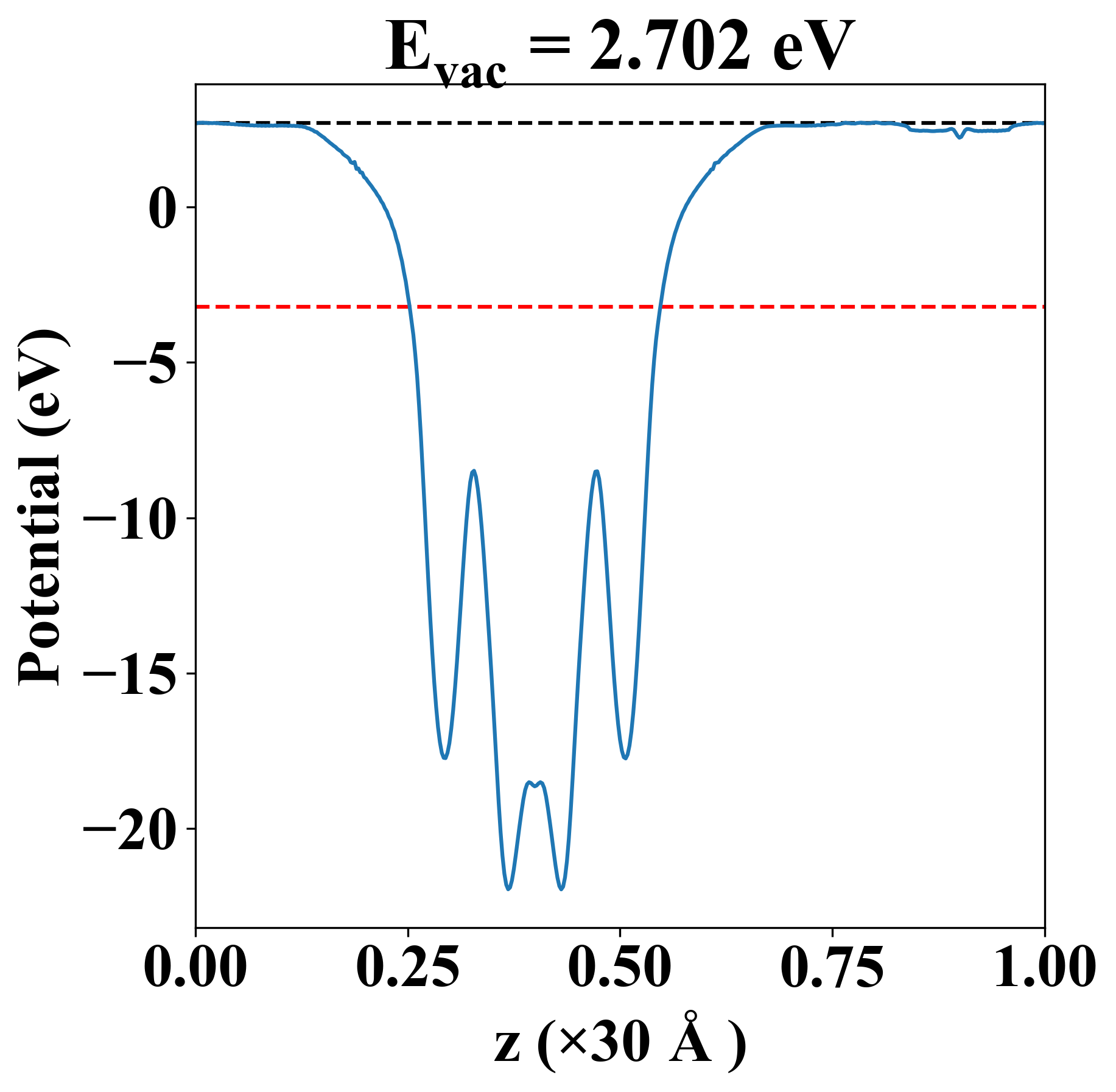
| E-fermi |
-3.216 eV |
| Vacuum level |
2.702 eV |
| VBM |
-3.216 eV |
| CBM |
-3.214 eV |
| Work function |
5.918 eV |
| Direct gap |
No |
| Property |
Value |
| Band gap |
0.00 eV |
| E-fermi |
-3.216 eV |
| Vacuum level |
2.702 eV |
| VBM |
-3.216 eV |
| CBM |
-3.214 eV |
| Work function |
5.918 eV |
| Cij (N/m) |
xx |
yy |
xy |
| xx |
46.903 |
7.582 |
0.000 |
| yy |
7.582 |
17.715 |
0.000 |
| xy |
0.000 |
0.000 |
14.403 |
| Phonon mode at Γ point (THz) |
| Property |
Value |
| from where |
c2db-219 |