I2Mn2S2
MatHub2d-1516-I2Mn2S2
| Property |
Value |
| Space group |
(59, 'Pmmn') |
| Crystal system |
rectangular |
| Magnetic |
Yes |
| Band gap (PBE) (eV) |
0.00 |
| Free energy (eV) |
-28.504 |
| Free energy / atom (eV) |
-4.751 |
Lattice Parameters (basic)
| a, b, c (Å): | 3.693 | 4.814 | 30.000 |
| α, β, γ (°): | 90.000 | 90.000 | 90.000 |
Lattice Parameters (computed)
| a, b, c (Å): | 3.778 | 4.949 | 30.000 |
| α, β, γ (°): | 90.000 | 90.000 | 90.000 |
| Property |
Value |
| Band gap |
0.00 eV |
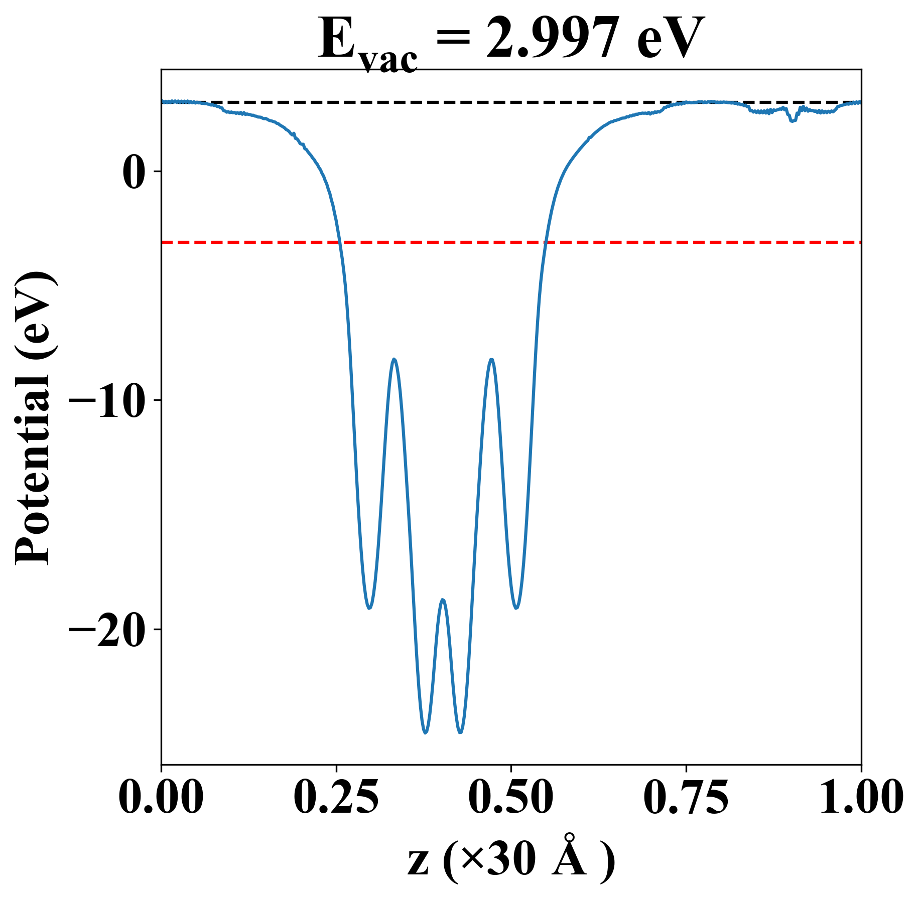
| E-fermi |
-3.118 eV |
| Vacuum level |
2.997 eV |
| VBM |
-3.119 eV |
| CBM |
-3.117 eV |
| Work function |
6.115 eV |
| Direct gap |
No |
| Property |
Value |
| Band gap |
0.00 eV |
| E-fermi |
-3.118 eV |
| Vacuum level |
2.997 eV |
| VBM |
-3.119 eV |
| CBM |
-3.117 eV |
| Work function |
6.115 eV |
| Cij (N/m) |
xx |
yy |
xy |
| xx |
46.486 |
5.788 |
0.000 |
| yy |
5.788 |
9.809 |
0.000 |
| xy |
0.000 |
0.000 |
12.301 |
| Phonon mode at Γ point (THz) |
| Property |
Value |
| from where |
c2db-216 |