I2Mn2N2
MatHub2d-1514-I2Mn2N2
| Property |
Value |
| Space group |
(59, 'Pmmn') |
| Crystal system |
rectangular |
| Magnetic |
Yes |
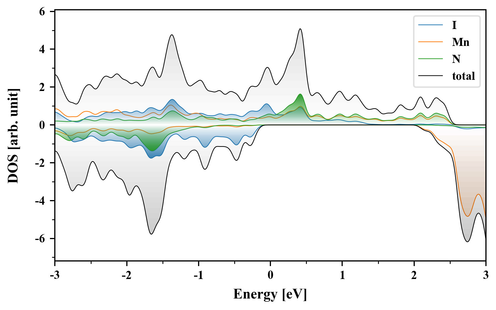
| Band gap (PBE) (eV) |
0.00 |
| Free energy (eV) |
-33.203 |
| Free energy / atom (eV) |
-5.534 |
Lattice Parameters (basic)
| a, b, c (Å): | 3.310 | 3.896 | 30.000 |
| α, β, γ (°): | 90.000 | 90.000 | 90.000 |
Lattice Parameters (computed)
| a, b, c (Å): | 3.590 | 3.965 | 30.000 |
| α, β, γ (°): | 90.000 | 90.000 | 90.000 |
| Property |
Value |
| Band gap |
0.00 eV |
| E-fermi |
-2.489 eV |
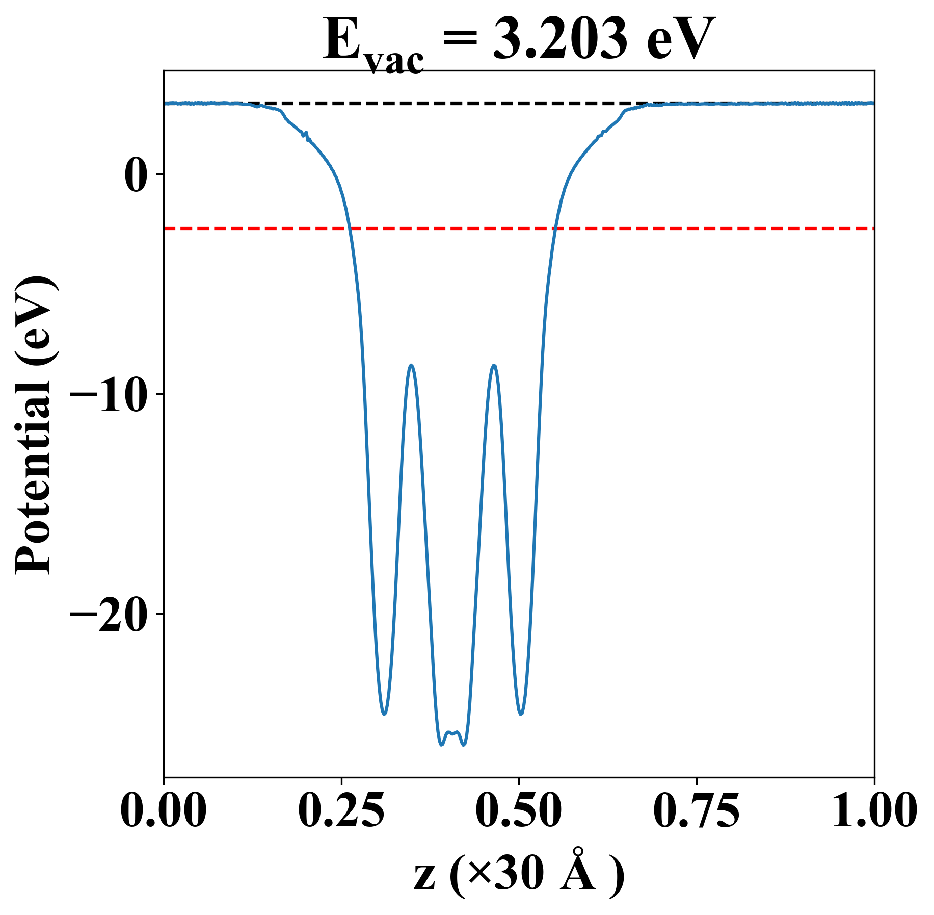
| Vacuum level |
3.203 eV |
| VBM |
-2.489 eV |
| CBM |
-2.489 eV |
| Work function |
5.692 eV |
| Direct gap |
No |
| Property |
Value |
| Band gap |
0.00 eV |
| E-fermi |
-2.489 eV |
| Vacuum level |
3.203 eV |
| VBM |
-2.489 eV |
| CBM |
-2.489 eV |
| Work function |
5.692 eV |
| Cij (N/m) |
xx |
yy |
xy |
| xx |
61.096 |
69.372 |
0.000 |
| yy |
69.372 |
47.545 |
0.000 |
| xy |
0.000 |
0.000 |
19.576 |
| Phonon mode at Γ point (THz) |
| -12.743 |
| -8.982 |
| -8.949 |
| -6.267 |
| -1.762 |
| -1.377 |
| -0.043 |
| 0.007 |
| 0.010 |
| 1.549 |
| 2.595 |
| 2.732 |
| 3.031 |
| 3.644 |
| 3.683 |
| 5.214 |
| 6.905 |
| 7.598 |
| Property |
Value |
| from where |
c2db-212 |