I2Ir2Se2
MatHub2d-1513-I2Ir2Se2
| Property |
Value |
| Space group |
(59, 'Pmmn') |
| Crystal system |
rectangular |
| Magnetic |
No |
| Band gap (PBE) (eV) |
0.24 |
| Free energy (eV) |
-23.978 |
| Free energy / atom (eV) |
-3.996 |
Lattice Parameters (basic)
| a, b, c (Å): | 3.851 | 4.919 | 30.000 |
| α, β, γ (°): | 90.000 | 90.000 | 90.000 |
Lattice Parameters (computed)
| a, b, c (Å): | 3.843 | 4.913 | 30.000 |
| α, β, γ (°): | 90.000 | 90.000 | 90.000 |
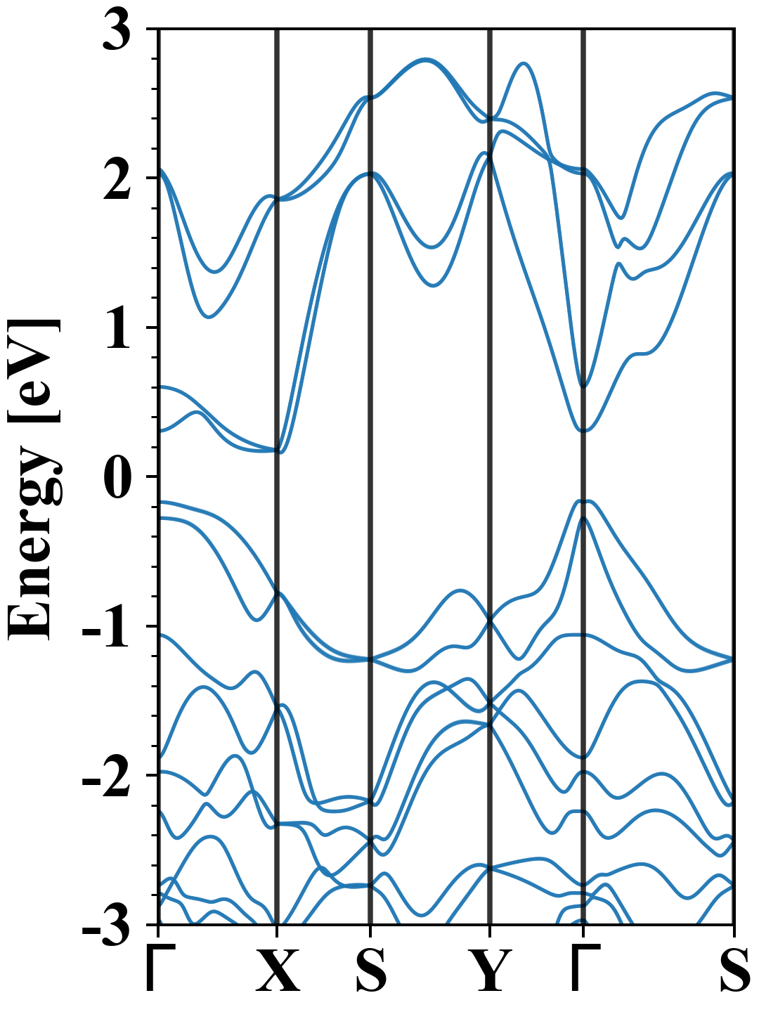
| Property |
Value |
| Band gap |
0.24 eV |
| E-fermi |
-2.227 eV |
| Vacuum level |
2.669 eV |
| VBM |
-2.345 eV |
| CBM |
-2.101 eV |
| Work function |
4.897 eV |
| Direct gap |
No |
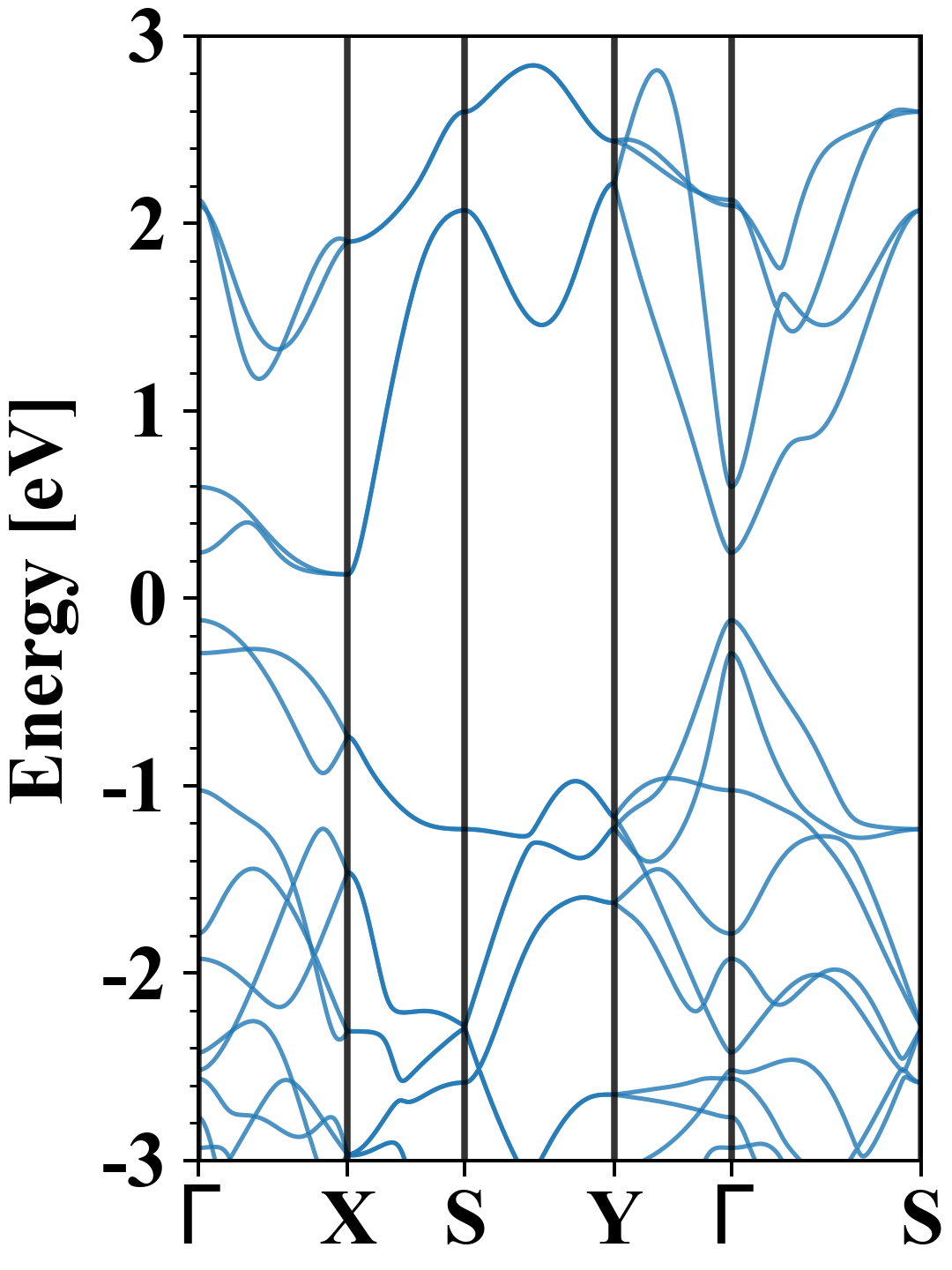
| Property |
Value |
| Band gap |
0.32 eV |
| E-fermi |
-2.159 eV |
| VBM |
-2.320 eV |
| CBM |
-1.999 eV |
| Free energy (eV) |
-25.070 |
| Free energy / atom (eV) |
-4.178 |
| Property |
Value |
| Band gap |
0.24 eV |
| E-fermi |
-2.227 eV |
| Vacuum level |
2.669 eV |
| VBM |
-2.345 eV |
| CBM |
-2.101 eV |
| Work function |
4.897 eV |
| Cij (N/m) |
xx |
yy |
xy |
| xx |
94.682 |
9.715 |
0.000 |
| yy |
9.715 |
133.373 |
0.000 |
| xy |
0.000 |
0.000 |
22.449 |
| Phonon mode at Γ point (THz) |
| -0.001 |
| -0.000 |
| 0.001 |
| 1.059 |
| 1.549 |
| 2.157 |
| 2.908 |
| 4.058 |
| 4.150 |
| 4.181 |
| 4.437 |
| 4.910 |
| 5.542 |
| 6.515 |
| 6.628 |
| 6.965 |
| 7.043 |
| 7.413 |
| Property |
Value |
| from where |
c2db-195 |