I2Ir2S2
MatHub2d-1512-I2Ir2S2
| Property |
Value |
| Space group |
(59, 'Pmmn') |
| Crystal system |
rectangular |
| Magnetic |
No |
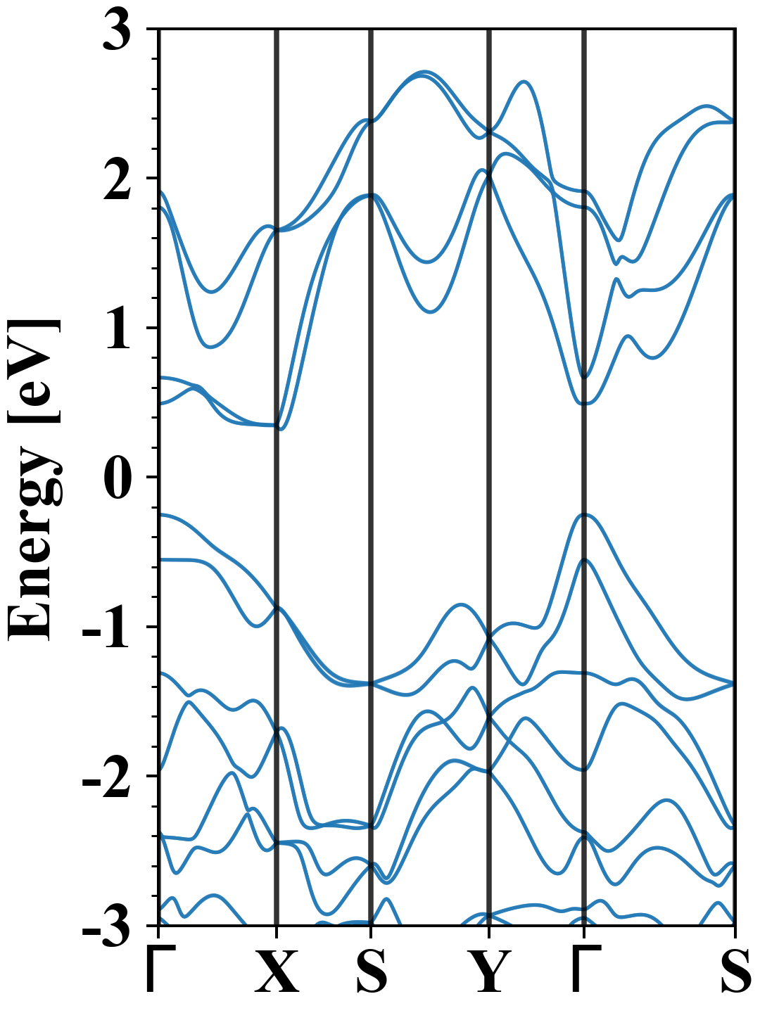
| Band gap (PBE) (eV) |
0.52 |
| Free energy (eV) |
-25.492 |
| Free energy / atom (eV) |
-4.249 |
Lattice Parameters (basic)
| a, b, c (Å): | 3.728 | 4.631 | 30.000 |
| α, β, γ (°): | 90.000 | 90.000 | 90.000 |
Lattice Parameters (computed)
| a, b, c (Å): | 3.727 | 4.640 | 30.000 |
| α, β, γ (°): | 90.000 | 90.000 | 90.000 |
| Property |
Value |
| Band gap |
0.52 eV |
| E-fermi |
-1.879 eV |
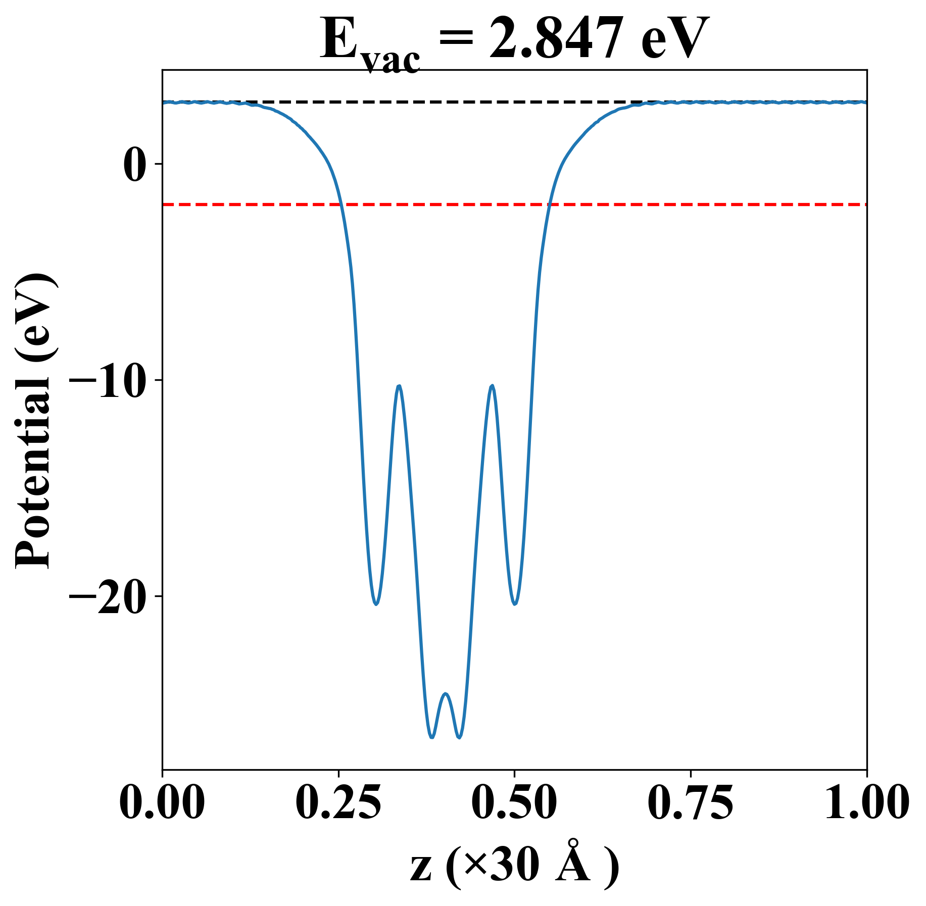
| Vacuum level |
2.847 eV |
| VBM |
-2.089 eV |
| CBM |
-1.569 eV |
| Work function |
4.726 eV |
| Direct gap |
No |
| Property |
Value |
| Band gap |
0.57 eV |
| E-fermi |
-1.796 eV |
| VBM |
-2.048 eV |
| CBM |
-1.478 eV |
| Free energy (eV) |
-26.551 |
| Free energy / atom (eV) |
-4.425 |
| Property |
Value |
| Band gap |
0.52 eV |
| E-fermi |
-1.879 eV |
| Vacuum level |
2.847 eV |
| VBM |
-2.089 eV |
| CBM |
-1.569 eV |
| Work function |
4.726 eV |
| Cij (N/m) |
xx |
yy |
xy |
| xx |
97.367 |
8.654 |
0.000 |
| yy |
8.654 |
162.841 |
0.000 |
| xy |
0.000 |
0.000 |
26.056 |
| Phonon mode at Γ point (THz) |
| -0.003 |
| -0.001 |
| -0.001 |
| 1.088 |
| 1.624 |
| 2.573 |
| 3.206 |
| 4.411 |
| 4.586 |
| 4.643 |
| 4.671 |
| 5.428 |
| 8.306 |
| 9.993 |
| 10.171 |
| 10.431 |
| 11.332 |
| 11.901 |
| Property |
Value |
| from where |
c2db-194 |