I2Ir2N2
MatHub2d-1510-I2Ir2N2
| Property |
Value |
| Space group |
(59, 'Pmmn') |
| Crystal system |
rectangular |
| Magnetic |
No |
| Band gap (PBE) (eV) |
0.00 |
| Free energy (eV) |
-28.997 |
| Free energy / atom (eV) |
-4.833 |
Lattice Parameters (basic)
| a, b, c (Å): | 3.369 | 3.896 | 30.000 |
| α, β, γ (°): | 90.000 | 90.000 | 90.000 |
Lattice Parameters (computed)
| a, b, c (Å): | 3.442 | 3.841 | 30.000 |
| α, β, γ (°): | 90.000 | 90.000 | 90.000 |
| Property |
Value |
| Band gap |
0.00 eV |
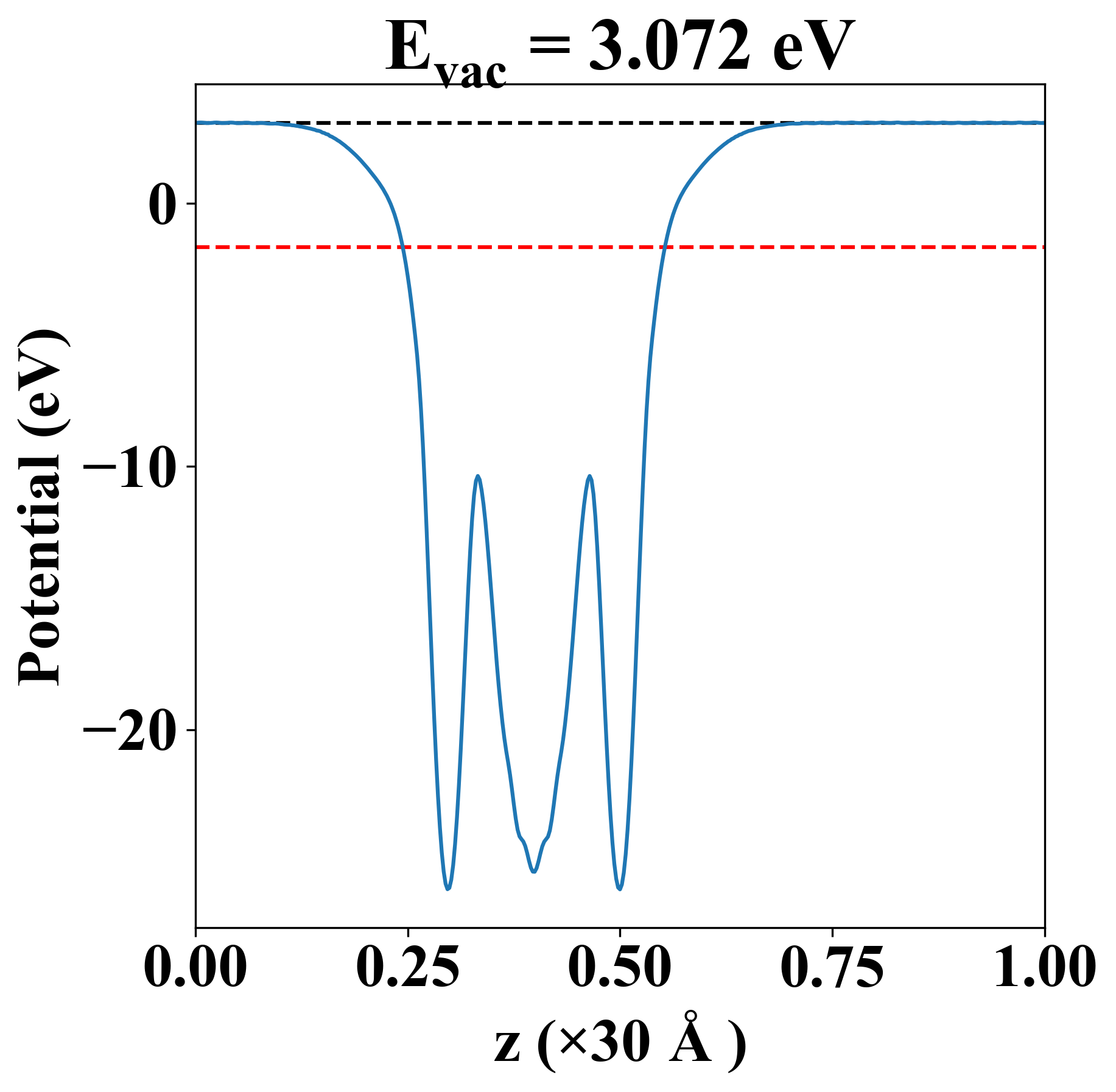
| E-fermi |
-1.645 eV |
| Vacuum level |
3.072 eV |
| VBM |
-1.649 eV |
| CBM |
-1.643 eV |
| Work function |
4.717 eV |
| Direct gap |
No |
| Property |
Value |
| Band gap |
0.00 eV |
| E-fermi |
-1.645 eV |
| Vacuum level |
3.072 eV |
| VBM |
-1.649 eV |
| CBM |
-1.643 eV |
| Work function |
4.717 eV |
| Cij (N/m) |
xx |
yy |
xy |
| xx |
84.322 |
34.653 |
0.000 |
| yy |
34.653 |
100.267 |
0.000 |
| xy |
0.000 |
0.000 |
36.044 |
| Phonon mode at Γ point (THz) |
| -0.004 |
| -0.001 |
| -0.001 |
| 1.199 |
| 1.704 |
| 2.534 |
| 3.138 |
| 3.631 |
| 4.417 |
| 4.493 |
| 4.772 |
| 5.146 |
| 11.191 |
| 13.439 |
| 14.225 |
| 14.720 |
| 16.680 |
| 17.506 |
| Property |
Value |
| from where |
c2db-192 |