I2In2Se2
MatHub2d-1509-I2In2Se2
| Property |
Value |
| Space group |
(59, 'Pmmn') |
| Crystal system |
rectangular |
| Magnetic |
No |
| Band gap (PBE) (eV) |
1.23 |
| Free energy (eV) |
-18.020 |
| Free energy / atom (eV) |
-3.003 |
Lattice Parameters (basic)
| a, b, c (Å): | 4.061 | 5.683 | 30.000 |
| α, β, γ (°): | 90.000 | 90.000 | 90.000 |
Lattice Parameters (computed)
| a, b, c (Å): | 4.049 | 5.671 | 30.000 |
| α, β, γ (°): | 90.000 | 90.000 | 90.000 |
| Property |
Value |
| Band gap |
1.23 eV |
| E-fermi |
-3.211 eV |
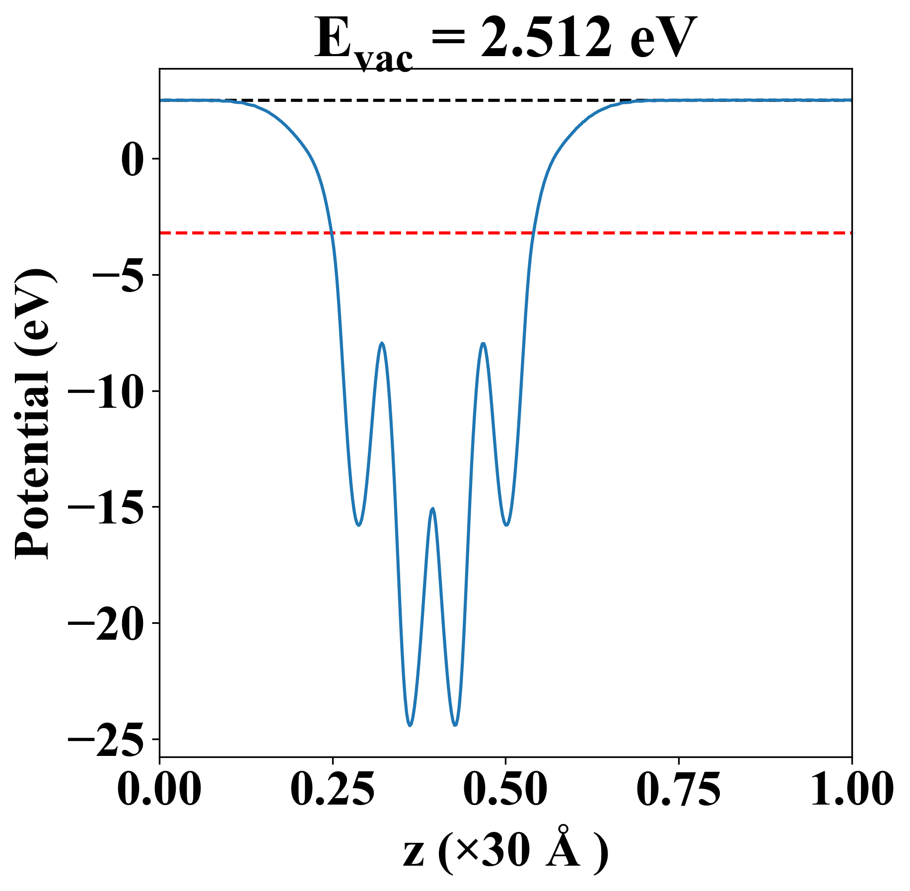
| Vacuum level |
2.512 eV |
| VBM |
-3.465 eV |
| CBM |
-2.233 eV |
| Work function |
5.722 eV |
| Direct gap |
No |
| Property |
Value |
| Band gap |
1.25 eV |
| E-fermi |
-3.213 eV |
| VBM |
-3.449 eV |
| CBM |
-2.202 eV |
| Free energy (eV) |
-18.416 |
| Free energy / atom (eV) |
-3.069 |
| Property |
Value |
| Band gap |
1.23 eV |
| E-fermi |
-3.211 eV |
| Vacuum level |
2.512 eV |
| VBM |
-3.465 eV |
| CBM |
-2.233 eV |
| Work function |
5.722 eV |
| Cij (N/m) |
xx |
yy |
xy |
| xx |
61.392 |
11.137 |
0.000 |
| yy |
11.137 |
37.237 |
0.000 |
| xy |
0.000 |
0.000 |
15.139 |
| Phonon mode at Γ point (THz) |
| -0.028 |
| -0.009 |
| 0.000 |
| 0.965 |
| 1.047 |
| 1.168 |
| 1.216 |
| 1.500 |
| 1.616 |
| 1.806 |
| 2.682 |
| 3.880 |
| 3.907 |
| 4.107 |
| 4.360 |
| 5.287 |
| 5.459 |
| 5.722 |
| Property |
Value |
| from where |
c2db-183 |