I2In2O2
MatHub2d-1507-I2In2O2
| Property |
Value |
| Space group |
(59, 'Pmmn') |
| Crystal system |
rectangular |
| Magnetic |
No |
| Band gap (PBE) (eV) |
1.29 |
| Free energy (eV) |
-24.533 |
| Free energy / atom (eV) |
-4.089 |
Lattice Parameters (basic)
| a, b, c (Å): | 3.860 | 4.101 | 30.000 |
| α, β, γ (°): | 90.000 | 90.000 | 90.000 |
Lattice Parameters (computed)
| a, b, c (Å): | 3.843 | 4.094 | 30.000 |
| α, β, γ (°): | 90.000 | 90.000 | 90.000 |
| Property |
Value |
| Band gap |
1.29 eV |
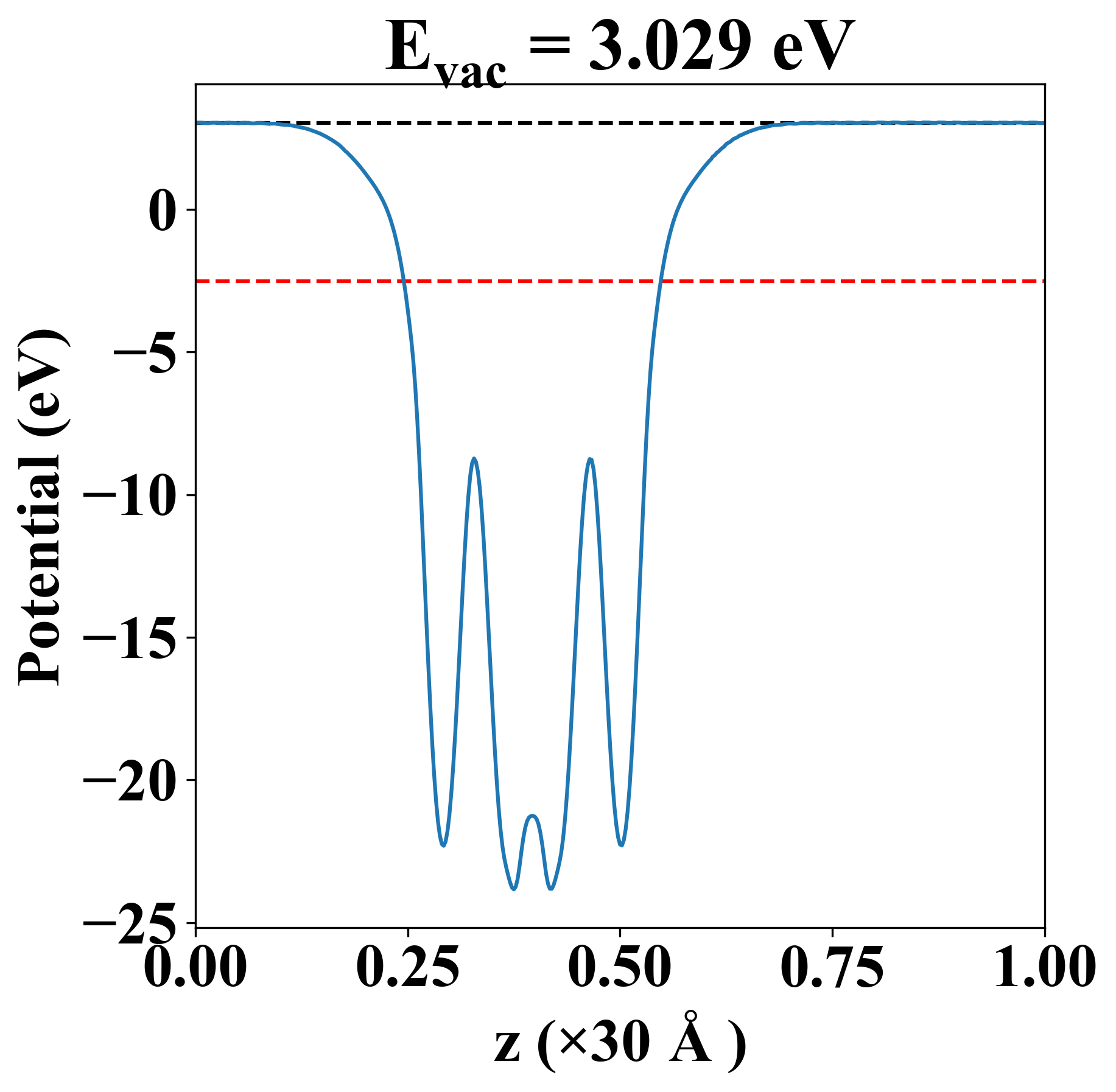
| E-fermi |
-2.513 eV |
| Vacuum level |
3.029 eV |
| VBM |
-2.737 eV |
| CBM |
-1.442 eV |
| Work function |
5.541 eV |
| Direct gap |
No |
| Property |
Value |
| Band gap |
1.29 eV |
| E-fermi |
-2.464 eV |
| VBM |
-2.677 eV |
| CBM |
-1.391 eV |
| Free energy (eV) |
-24.869 |
| Free energy / atom (eV) |
-4.145 |
| Property |
Value |
| Band gap |
1.29 eV |
| E-fermi |
-2.513 eV |
| Vacuum level |
3.029 eV |
| VBM |
-2.737 eV |
| CBM |
-1.442 eV |
| Work function |
5.541 eV |
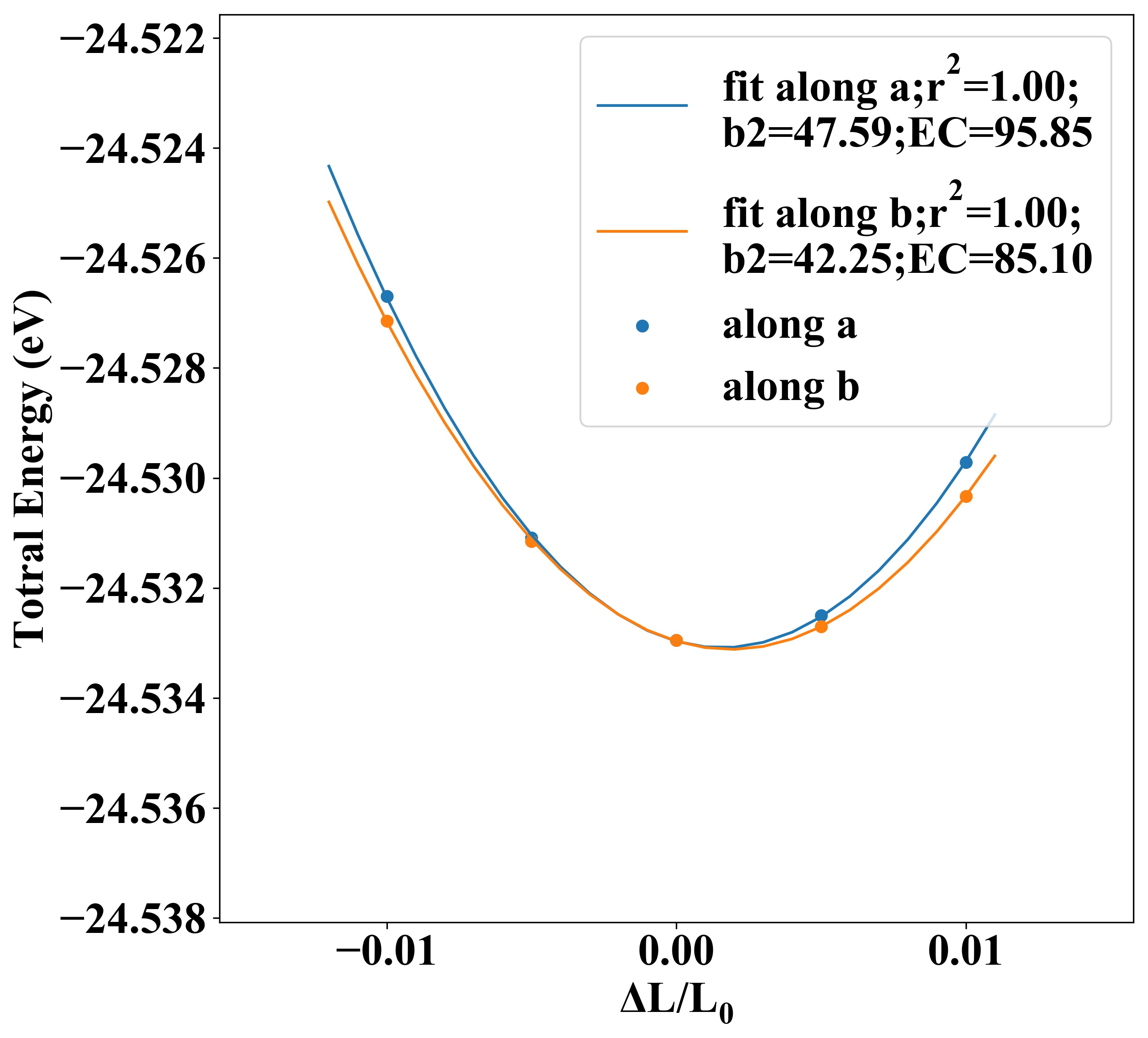
| Cij (N/m) |
xx |
yy |
xy |
| xx |
97.163 |
32.405 |
0.000 |
| yy |
32.405 |
86.452 |
0.000 |
| xy |
0.000 |
0.000 |
33.202 |
| Phonon mode at Γ point (THz) |
| -0.016 |
| -0.015 |
| -0.015 |
| 0.826 |
| 1.224 |
| 1.310 |
| 2.258 |
| 2.817 |
| 3.684 |
| 4.252 |
| 4.835 |
| 6.016 |
| 7.283 |
| 9.031 |
| 11.828 |
| 12.937 |
| 13.101 |
| 16.958 |
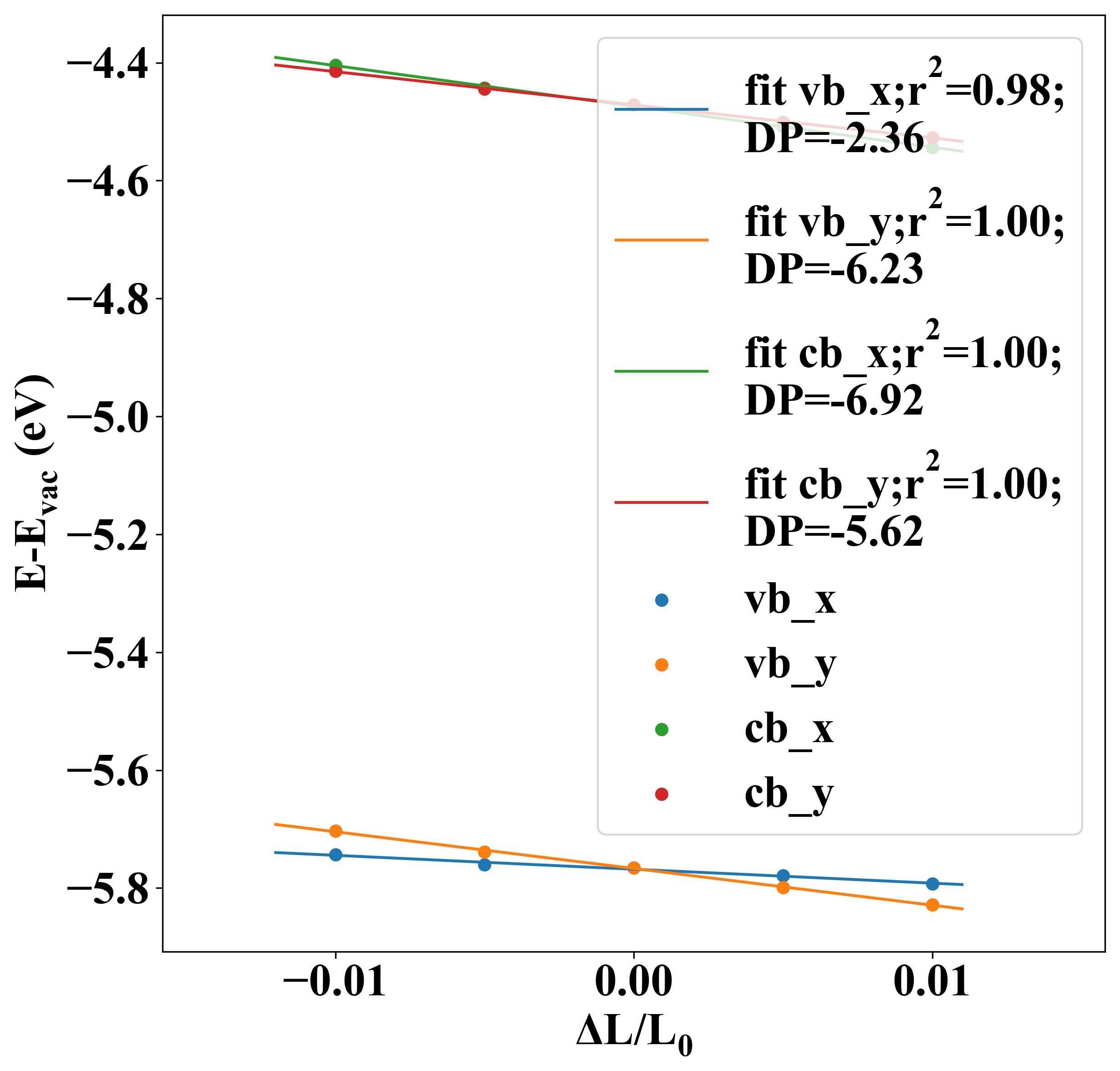
| Carrier type |
C2D (N/m) |
Edef (eV) |
μ (cm2V-1s-1) |
| x |
y |
x |
y |
x |
y |
| hole |
95.85 |
85.10 |
-2.36 |
-6.23 |
-44.70 |
-42.46 |
| electron |
-6.92 |
-5.62 |
578.00 |
639.65 |
| Property |
Value |
| from where |
c2db-181 |