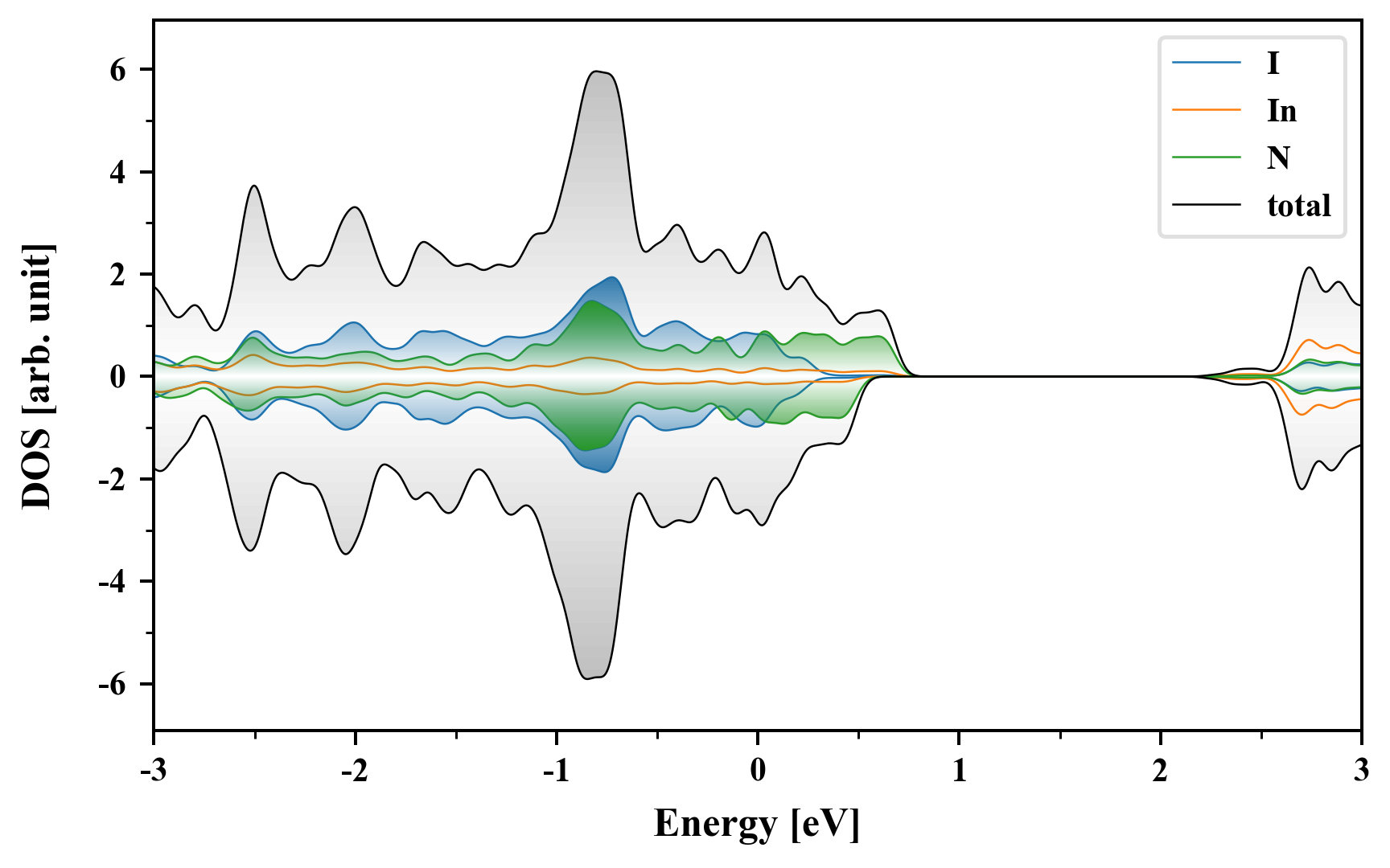
I2In2N2
MatHub2d-1506-I2In2N2
| Property |
Value |
| Space group |
(59, 'Pmmn') |
| Crystal system |
rectangular |
| Magnetic |
Yes |
| Band gap (PBE) (eV) |
0.00 |
| Free energy (eV) |
-22.483 |
| Free energy / atom (eV) |
-3.747 |
Lattice Parameters (basic)
| a, b, c (Å): | 3.744 | 4.140 | 30.000 |
| α, β, γ (°): | 90.000 | 90.000 | 90.000 |
Lattice Parameters (computed)
| a, b, c (Å): | 3.725 | 4.139 | 30.000 |
| α, β, γ (°): | 90.000 | 90.000 | 90.000 |
| Property |
Value |
| Band gap |
0.00 eV |
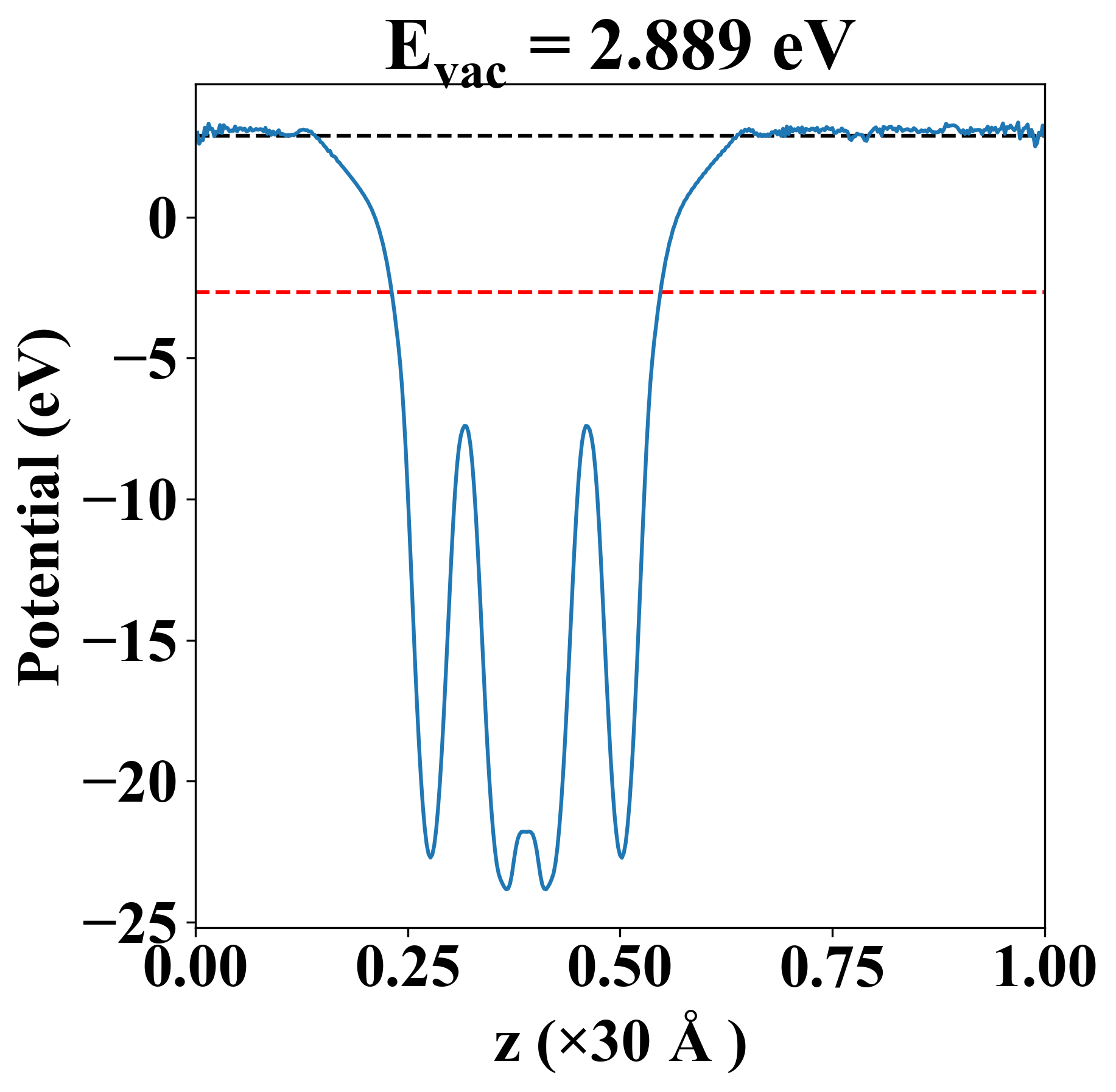
| E-fermi |
-2.664 eV |
| Vacuum level |
2.889 eV |
| VBM |
-2.664 eV |
| CBM |
-2.664 eV |
| Work function |
5.553 eV |
| Direct gap |
No |
| Property |
Value |
| Band gap |
0.00 eV |
| E-fermi |
-2.664 eV |
| Vacuum level |
2.889 eV |
| VBM |
-2.664 eV |
| CBM |
-2.664 eV |
| Work function |
5.553 eV |
| Cij (N/m) |
xx |
yy |
xy |
| xx |
68.774 |
48.414 |
0.000 |
| yy |
48.414 |
65.703 |
0.000 |
| xy |
0.000 |
0.000 |
-0.115 |
| Phonon mode at Γ point (THz) |
| -0.024 |
| -0.012 |
| -0.004 |
| 0.410 |
| 0.743 |
| 0.828 |
| 1.123 |
| 2.502 |
| 3.190 |
| 3.458 |
| 3.868 |
| 3.902 |
| 9.876 |
| 11.154 |
| 11.554 |
| 13.707 |
| 14.600 |
| 17.259 |
| Property |
Value |
| from where |
c2db-180 |