Hg2I2S2
MatHub2d-1503-Hg2I2S2
| Property |
Value |
| Space group |
(59, 'Pmmn') |
| Crystal system |
rectangular |
| Magnetic |
|
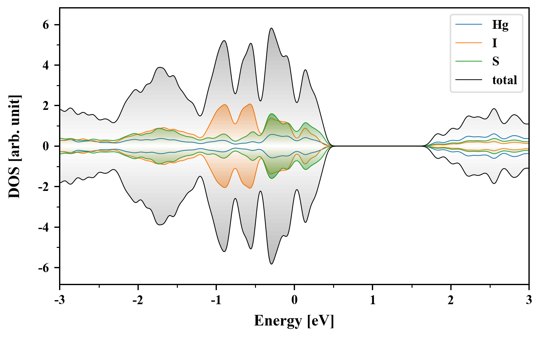
| Band gap (PBE) (eV) |
0.00 |
| Free energy (eV) |
-10.562 |
| Free energy / atom (eV) |
-1.760 |
Lattice Parameters (basic)
| a, b, c (Å): | 3.970 | 5.282 | 30.000 |
| α, β, γ (°): | 90.000 | 90.000 | 90.000 |
Lattice Parameters (computed)
| a, b, c (Å): | 3.972 | 5.314 | 30.000 |
| α, β, γ (°): | 90.000 | 90.000 | 90.000 |
| Property |
Value |
| Band gap |
0.00 eV |
| E-fermi |
-3.721 eV |
| Vacuum level |
2.480 eV |
| VBM |
-3.721 eV |
| CBM |
-3.721 eV |
| Work function |
6.201 eV |
| Direct gap |
No |
| Property |
Value |
| Band gap |
0.00 eV |
| E-fermi |
-3.721 eV |
| Vacuum level |
2.480 eV |
| VBM |
-3.721 eV |
| CBM |
-3.721 eV |
| Work function |
6.201 eV |
| Cij (N/m) |
xx |
yy |
xy |
| xx |
30.625 |
7.883 |
0.000 |
| yy |
7.883 |
19.872 |
0.000 |
| xy |
0.000 |
0.000 |
6.499 |
| Phonon mode at Γ point (THz) |
| -1.878 |
| -1.066 |
| -0.002 |
| -0.001 |
| 0.006 |
| 0.668 |
| 1.047 |
| 1.062 |
| 1.218 |
| 1.595 |
| 2.936 |
| 2.996 |
| 4.159 |
| 4.662 |
| 4.957 |
| 5.341 |
| 5.622 |
| 8.062 |
| Property |
Value |
| from where |
c2db-169 |