Hf3S8Ti1
MatHub2d-1498-Hf3S8Ti1
| Property |
Value |
| Space group |
(6, 'Pm') |
| Crystal system |
rectangular |
| Magnetic |
No |
| Band gap (PBE) (eV) |
1.15 |
| Free energy (eV) |
-83.444 |
| Free energy / atom (eV) |
-6.954 |
Lattice Parameters (basic)
| a, b, c (Å): | 6.061 | 7.001 | 30.000 |
| α, β, γ (°): | 90.000 | 90.000 | 90.000 |
Lattice Parameters (computed)
| a, b, c (Å): | 6.067 | 7.010 | 30.000 |
| α, β, γ (°): | 90.000 | 90.000 | 90.000 |
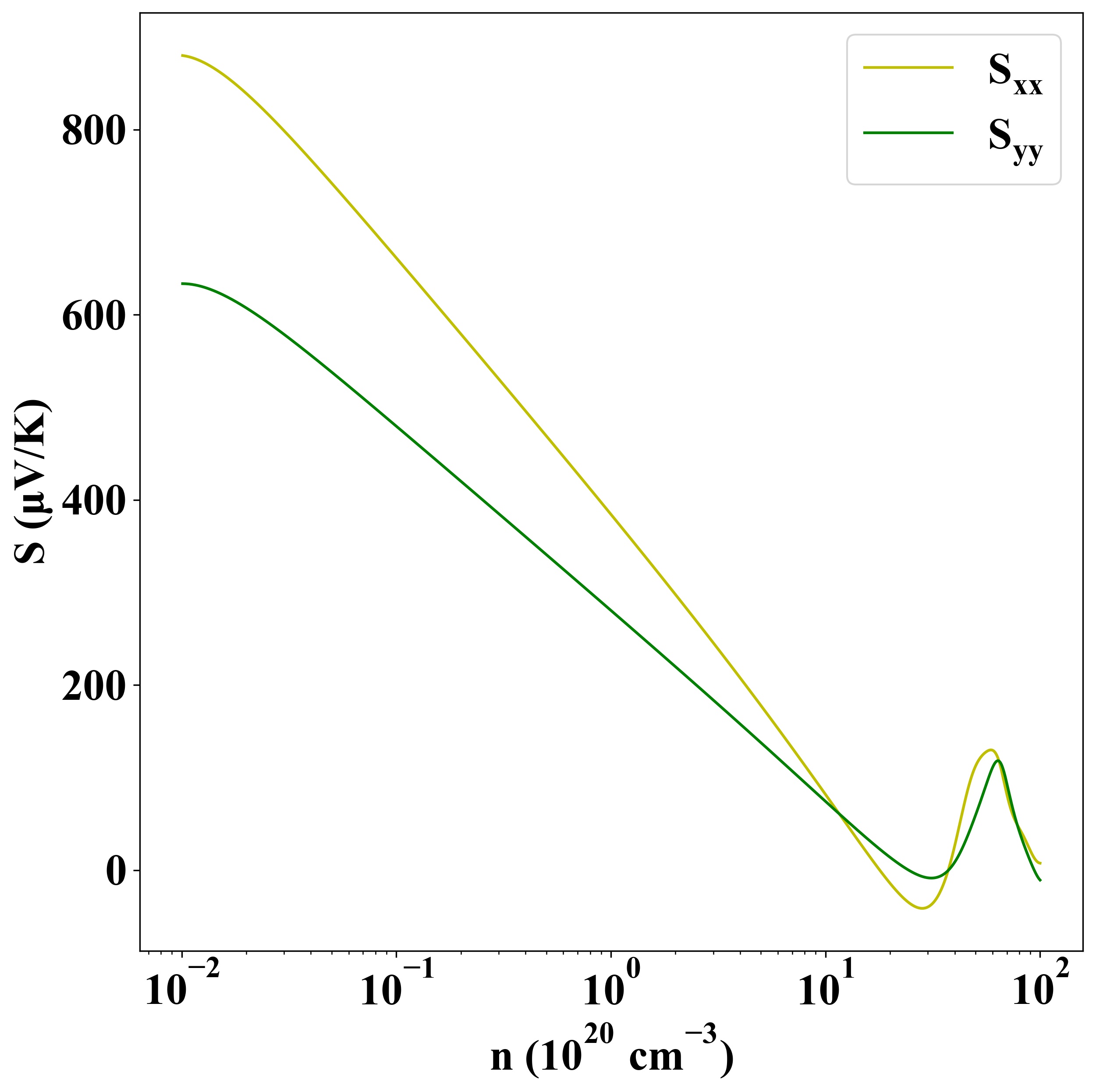
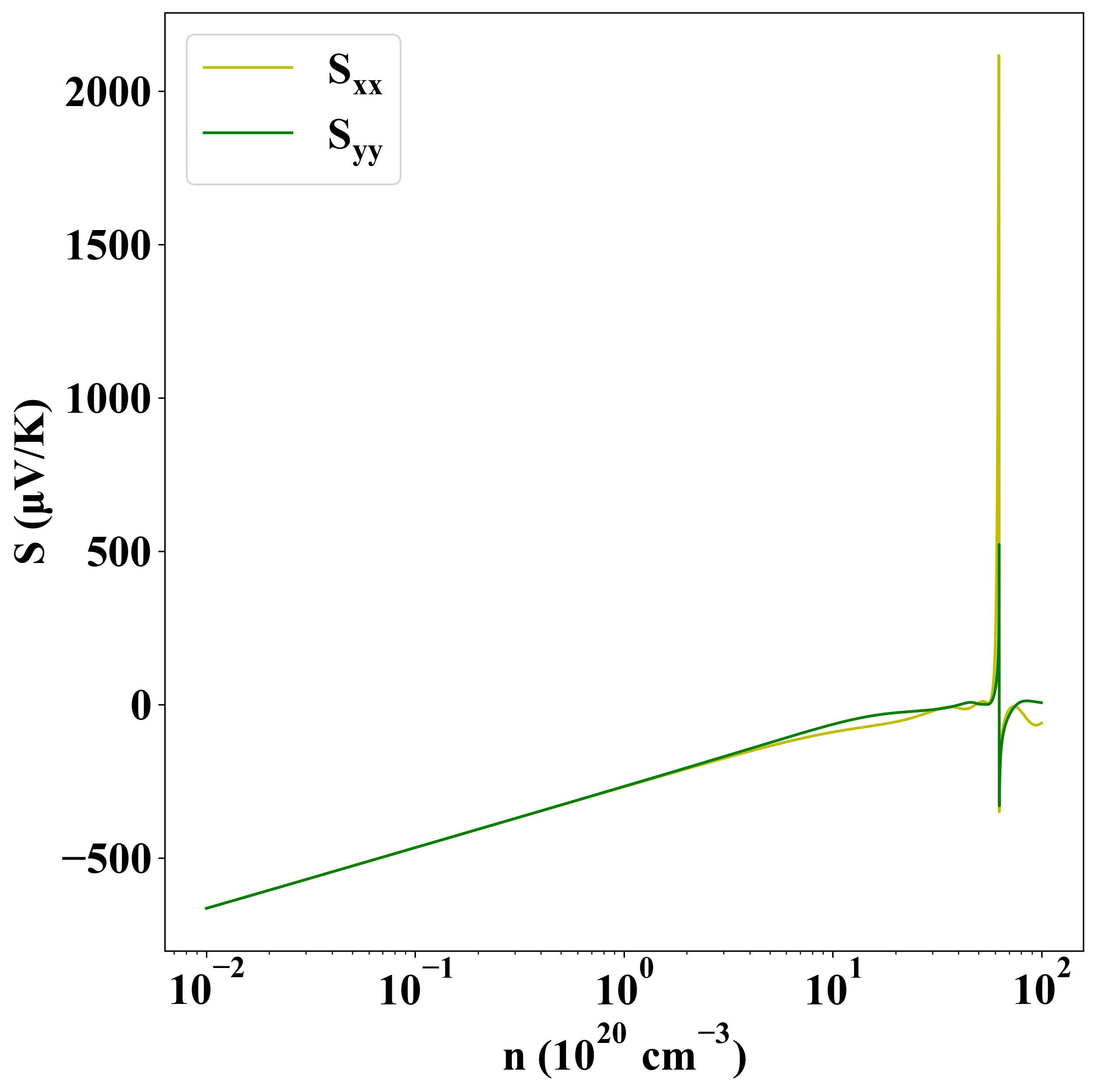
| Property |
Value |
| Band gap |
1.15 eV |
| E-fermi |
-4.355 eV |
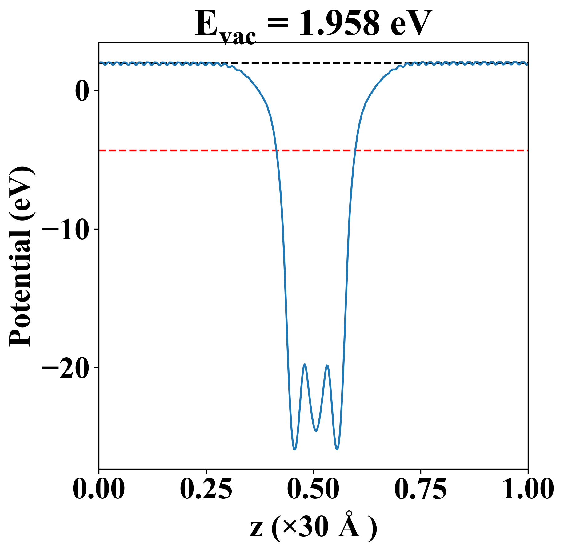
| Vacuum level |
1.958 eV |
| VBM |
-4.755 eV |
| CBM |
-3.604 eV |
| Work function |
6.313 eV |
| Direct gap |
No |
| Property |
Value |
| Band gap |
1.15 eV |
| E-fermi |
-4.355 eV |
| Vacuum level |
1.958 eV |
| VBM |
-4.755 eV |
| CBM |
-3.604 eV |
| Work function |
6.313 eV |
| Cij (N/m) |
xx |
yy |
xy |
| xx |
67.059 |
5.679 |
0.000 |
| yy |
5.679 |
169.955 |
0.000 |
| xy |
0.000 |
0.000 |
21.275 |
| Phonon mode at Γ point (THz) |
| Property |
Value |
| from where |
c2db-1572 |