Hf2Te6
MatHub2d-1497-Hf2Te6
| Property |
Value |
| Space group |
(59, 'Pmmn') |
| Crystal system |
rectangular |
| Magnetic |
No |
| Band gap (PBE) (eV) |
0.00 |
| Free energy (eV) |
-43.586 |
| Free energy / atom (eV) |
-5.448 |
Lattice Parameters (basic)
| a, b, c (Å): | 3.939 | 5.955 | 30.000 |
| α, β, γ (°): | 90.000 | 90.000 | 90.000 |
Lattice Parameters (computed)
| a, b, c (Å): | 3.900 | 5.952 | 30.000 |
| α, β, γ (°): | 90.000 | 90.000 | 90.000 |
| Property |
Value |
| Band gap |
0.00 eV |
| E-fermi |
-1.332 eV |
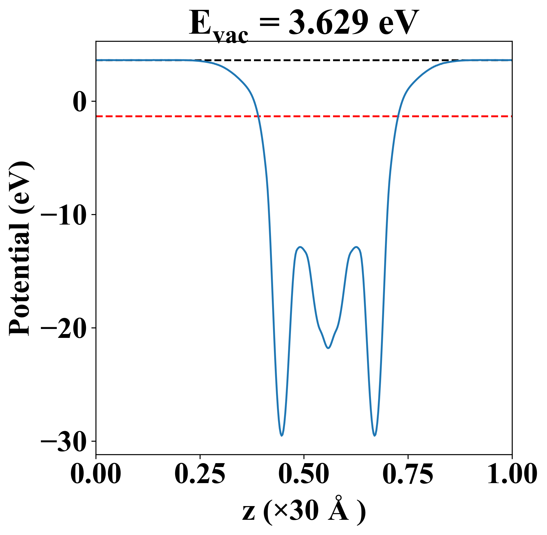
| Vacuum level |
3.629 eV |
| VBM |
-1.333 eV |
| CBM |
-1.331 eV |
| Work function |
4.961 eV |
| Direct gap |
No |
| Property |
Value |
| Band gap |
0.00 eV |
| E-fermi |
-1.332 eV |
| Vacuum level |
3.629 eV |
| VBM |
-1.333 eV |
| CBM |
-1.331 eV |
| Work function |
4.961 eV |
| Cij (N/m) |
xx |
yy |
xy |
| xx |
68.367 |
10.664 |
-0.000 |
| yy |
10.664 |
124.809 |
-0.000 |
| xy |
-0.000 |
-0.000 |
14.137 |
| Phonon mode at Γ point (THz) |
| -0.003 |
| -0.001 |
| -0.001 |
| 0.902 |
| 1.263 |
| 1.438 |
| 1.521 |
| 1.931 |
| 1.998 |
| 2.020 |
| 2.431 |
| 2.747 |
| 2.859 |
| 2.868 |
| 3.000 |
| 3.400 |
| 3.605 |
| 3.714 |
| 3.847 |
| 3.949 |
| 4.127 |
| 4.262 |
| 4.997 |
| 5.201 |
| Property |
Value |
| from where |
c2db-1743 |