Hf2Te10
MatHub2d-1496-Hf2Te10
| Property |
Value |
| Space group |
(59, 'Pmmn') |
| Crystal system |
rectangular |
| Magnetic |
No |
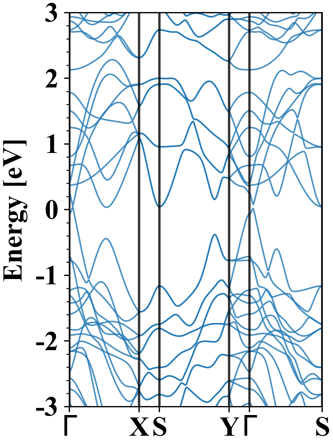
| Band gap (PBE) (eV) |
0.00 |
| Free energy (eV) |
-56.634 |
| Free energy / atom (eV) |
-4.720 |
Lattice Parameters (basic)
| a, b, c (Å): | 4.010 | 13.896 | 30.000 |
| α, β, γ (°): | 90.000 | 90.000 | 90.000 |
Lattice Parameters (computed)
| a, b, c (Å): | 4.030 | 13.855 | 30.000 |
| α, β, γ (°): | 90.000 | 90.000 | 90.000 |
| Property |
Value |
| Band gap |
0.00 eV |
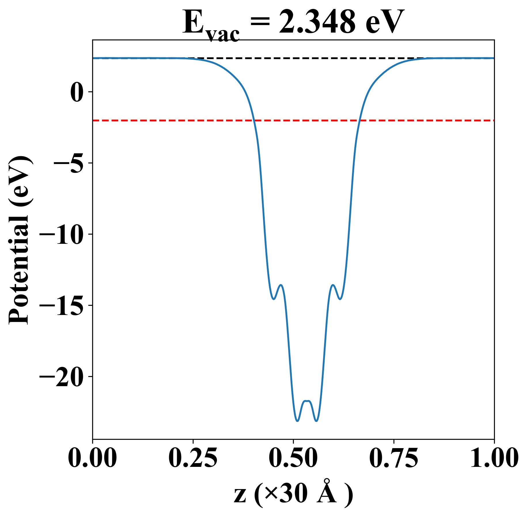
| E-fermi |
-2.022 eV |
| Vacuum level |
2.348 eV |
| VBM |
-2.033 eV |
| CBM |
-2.015 eV |
| Work function |
4.371 eV |
| Direct gap |
No |
| Property |
Value |
| Band gap |
0.00 eV |
| E-fermi |
-2.022 eV |
| Vacuum level |
2.348 eV |
| VBM |
-2.033 eV |
| CBM |
-2.015 eV |
| Work function |
4.371 eV |
| Cij (N/m) |
xx |
yy |
xy |
| xx |
55.390 |
16.699 |
-0.000 |
| yy |
16.699 |
46.651 |
0.000 |
| xy |
-0.000 |
0.000 |
23.207 |
| Phonon mode at Γ point (THz) |
| Property |
Value |
| from where |
JVASP-19987 |