Hf2Se6
MatHub2d-1495-Hf2Se6
| Property |
Value |
| Space group |
(59, 'Pmmn') |
| Crystal system |
rectangular |
| Magnetic |
No |
| Band gap (PBE) (eV) |
0.39 |
| Free energy (eV) |
-48.964 |
| Free energy / atom (eV) |
-6.120 |
Lattice Parameters (basic)
| a, b, c (Å): | 3.734 | 5.438 | 30.000 |
| α, β, γ (°): | 90.000 | 90.000 | 90.000 |
Lattice Parameters (computed)
| a, b, c (Å): | 3.748 | 5.449 | 30.000 |
| α, β, γ (°): | 90.000 | 90.000 | 90.000 |
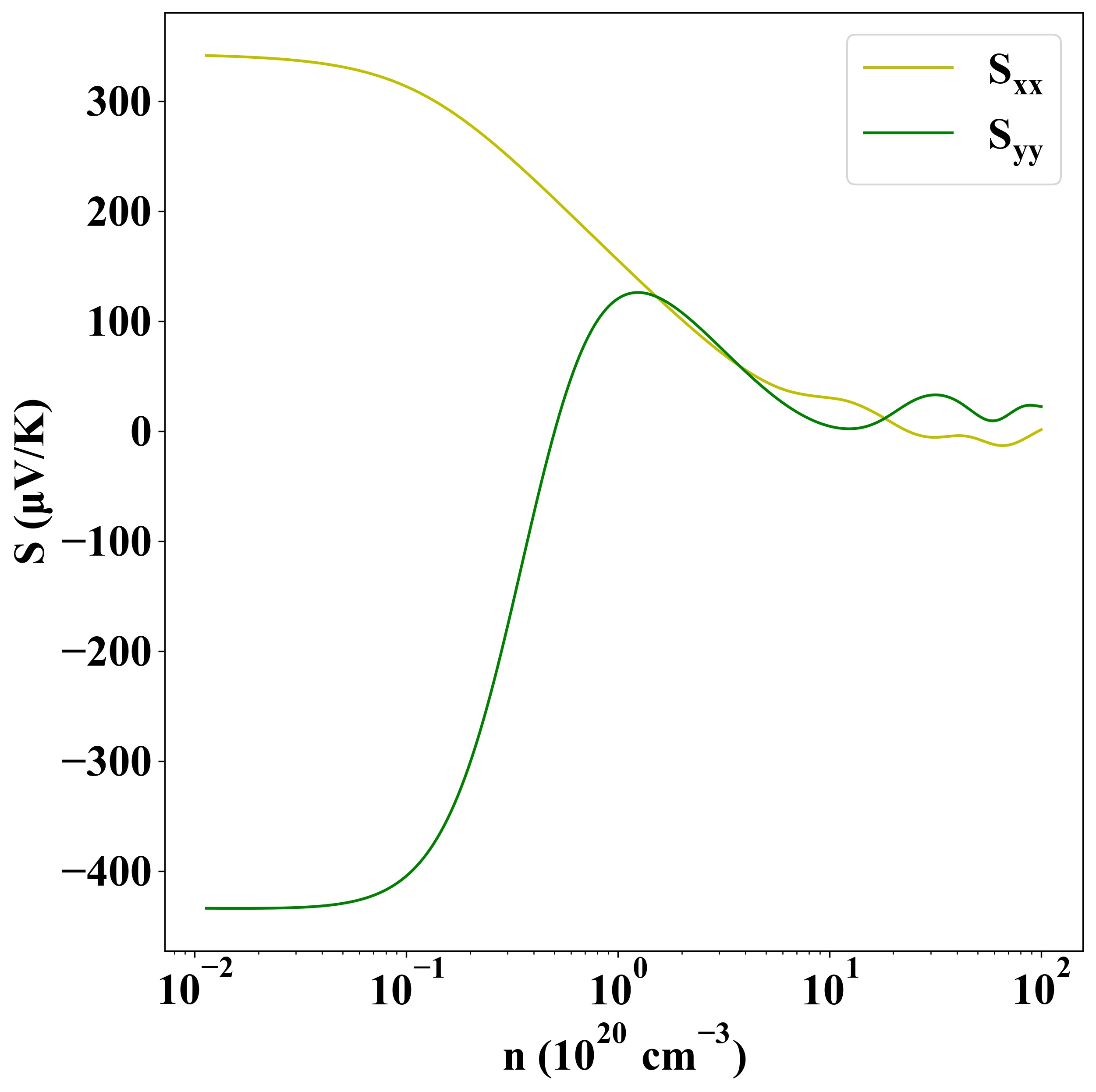
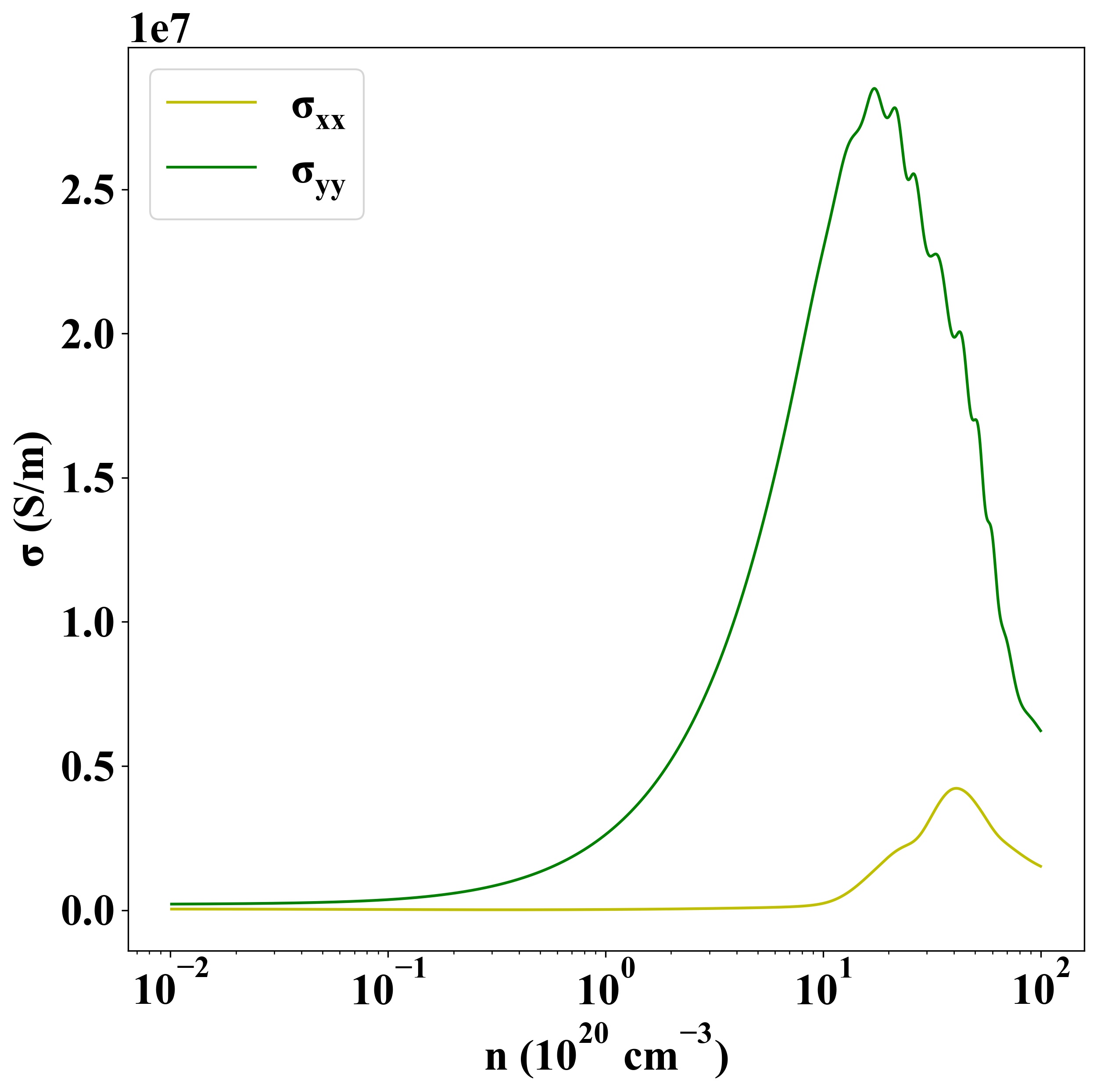
| Property |
Value |
| Band gap |
0.39 eV |
| E-fermi |
-2.319 eV |
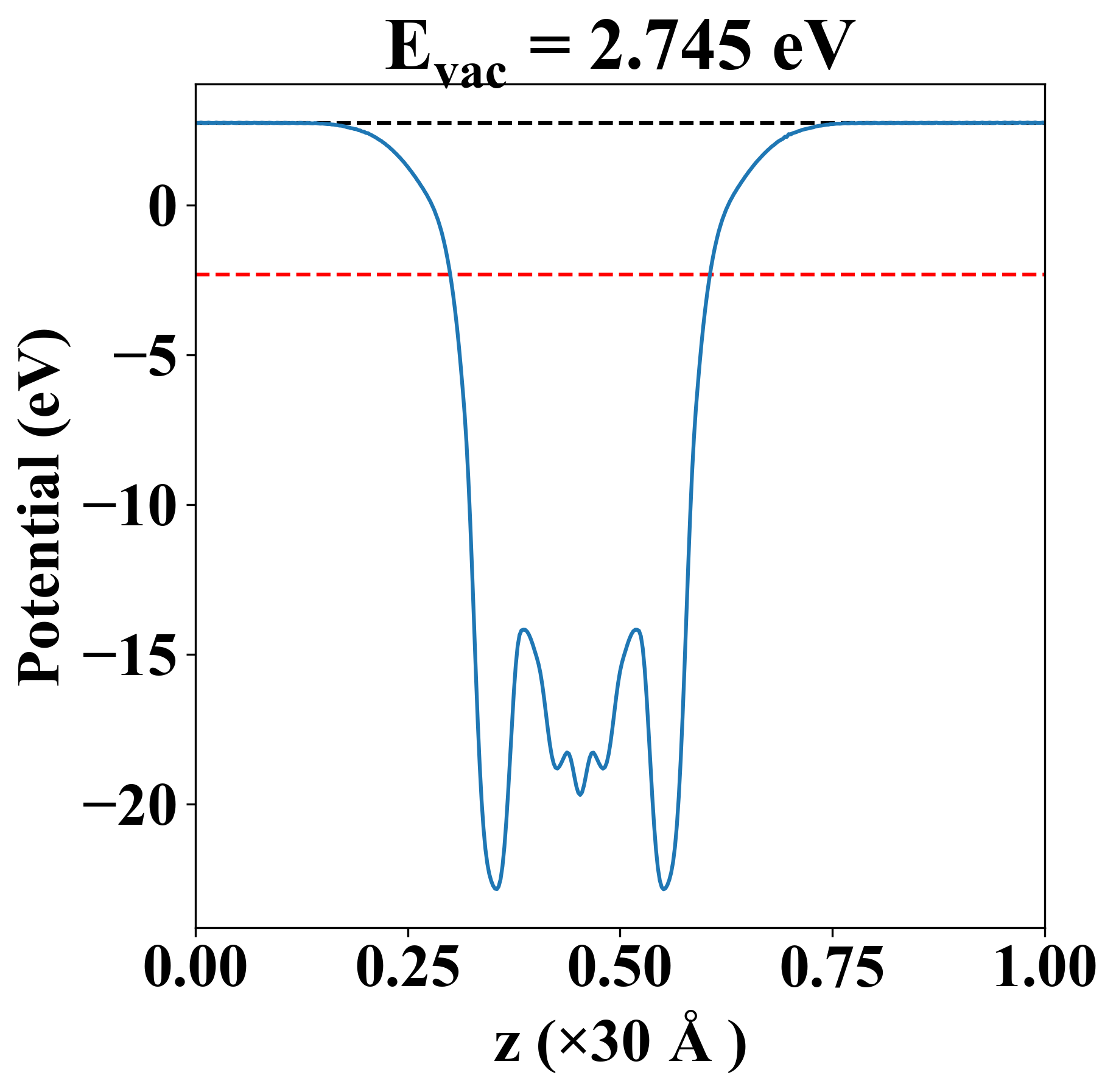
| Vacuum level |
2.745 eV |
| VBM |
-2.512 eV |
| CBM |
-2.126 eV |
| Work function |
5.064 eV |
| Direct gap |
No |
| Property |
Value |
| Band gap |
0.26 eV |
| E-fermi |
-2.264 eV |
| VBM |
-2.392 eV |
| CBM |
-2.130 eV |
| Free energy (eV) |
-50.417 |
| Free energy / atom (eV) |
-6.302 |
| Property |
Value |
| Band gap |
0.39 eV |
| E-fermi |
-2.319 eV |
| Vacuum level |
2.745 eV |
| VBM |
-2.512 eV |
| CBM |
-2.126 eV |
| Work function |
5.064 eV |
| Cij (N/m) |
xx |
yy |
xy |
| xx |
110.171 |
8.558 |
0.000 |
| yy |
8.558 |
80.353 |
0.000 |
| xy |
0.000 |
0.000 |
20.555 |
| Phonon mode at Γ point (THz) |
| -0.115 |
| -0.050 |
| -0.041 |
| 1.119 |
| 1.176 |
| 1.194 |
| 1.414 |
| 1.577 |
| 1.647 |
| 2.519 |
| 3.602 |
| 3.656 |
| 3.853 |
| 4.182 |
| 4.333 |
| 4.563 |
| 4.634 |
| 4.758 |
| 5.183 |
| 5.534 |
| 5.744 |
| 6.184 |
| 8.061 |
| 8.100 |
| Property |
Value |
| from where |
JVASP-5896 |