Hf2Se6
MatHub2d-1494-Hf2Se6
| Property |
Value |
| Space group |
(59, 'Pmmn') |
| Crystal system |
rectangular |
| Magnetic |
No |
| Band gap (PBE) (eV) |
0.39 |
| Free energy (eV) |
-48.964 |
| Free energy / atom (eV) |
-6.120 |
Lattice Parameters (basic)
| a, b, c (Å): | 3.751 | 5.452 | 30.000 |
| α, β, γ (°): | 90.000 | 90.000 | 90.000 |
Lattice Parameters (computed)
| a, b, c (Å): | 3.748 | 5.450 | 30.000 |
| α, β, γ (°): | 90.000 | 90.000 | 90.000 |
| Property |
Value |
| Band gap |
0.39 eV |
| E-fermi |
-2.318 eV |
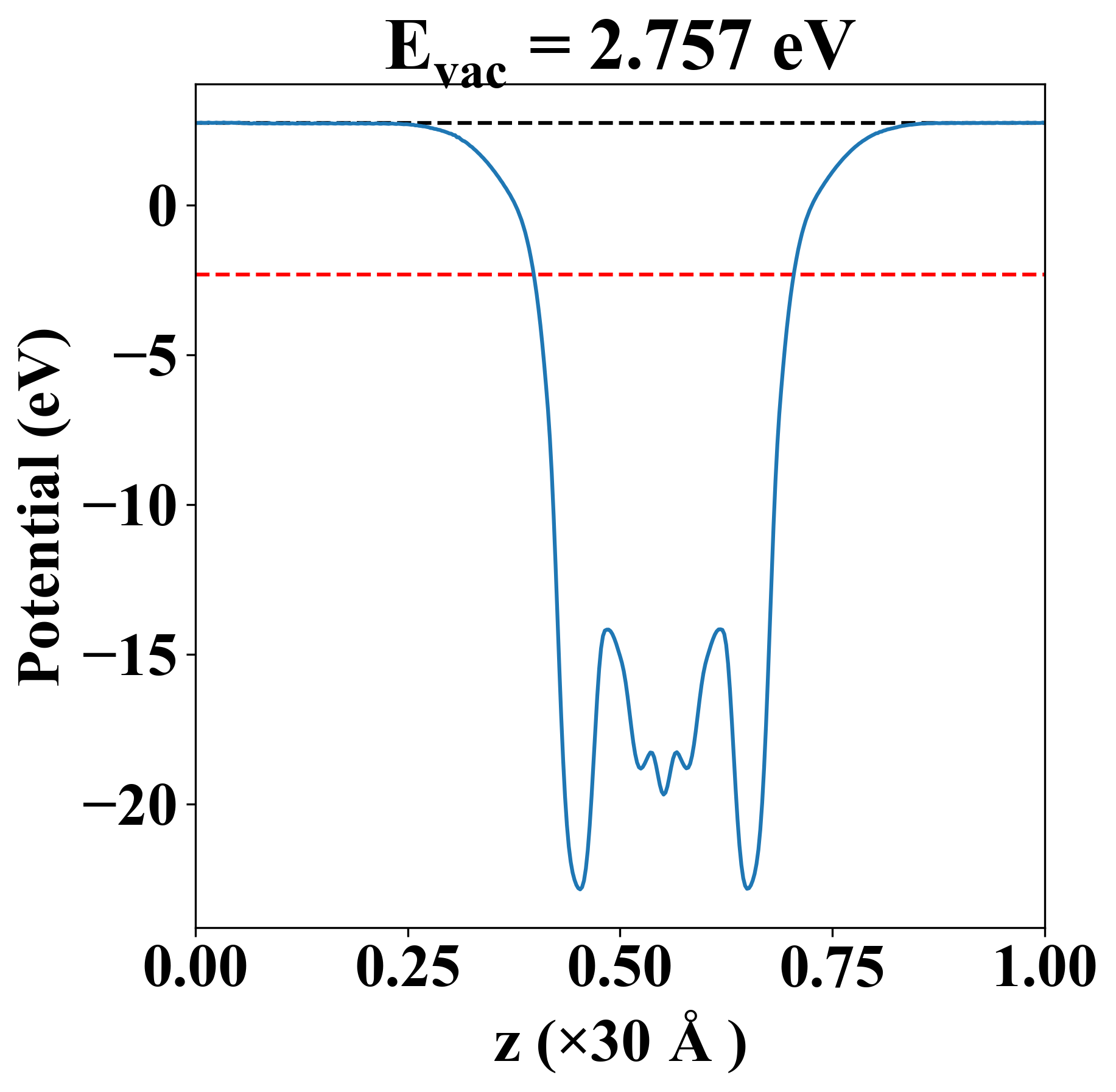
| Vacuum level |
2.757 eV |
| VBM |
-2.511 eV |
| CBM |
-2.124 eV |
| Work function |
5.075 eV |
| Direct gap |
No |
| Property |
Value |
| Band gap |
0.26 eV |
| E-fermi |
-2.265 eV |
| VBM |
-2.393 eV |
| CBM |
-2.133 eV |
| Free energy (eV) |
-50.417 |
| Free energy / atom (eV) |
-6.302 |
| Property |
Value |
| Band gap |
0.39 eV |
| E-fermi |
-2.318 eV |
| Vacuum level |
2.757 eV |
| VBM |
-2.511 eV |
| CBM |
-2.124 eV |
| Work function |
5.075 eV |
| Cij (N/m) |
xx |
yy |
xy |
| xx |
112.233 |
10.533 |
0.000 |
| yy |
10.533 |
79.011 |
0.000 |
| xy |
0.000 |
0.000 |
23.200 |
| Phonon mode at Γ point (THz) |
| -0.005 |
| -0.003 |
| -0.002 |
| 1.007 |
| 1.205 |
| 1.472 |
| 1.655 |
| 1.668 |
| 1.706 |
| 2.574 |
| 3.743 |
| 3.776 |
| 3.811 |
| 4.206 |
| 4.341 |
| 4.563 |
| 4.638 |
| 4.750 |
| 5.173 |
| 5.451 |
| 5.708 |
| 6.165 |
| 8.057 |
| 8.099 |
| Property |
Value |
| from where |
c2db-1742 |