Hf2S6
MatHub2d-1493-Hf2S6
| Property |
Value |
| Space group |
(59, 'Pmmn') |
| Crystal system |
rectangular |
| Magnetic |
No |
| Band gap (PBE) (eV) |
1.16 |
| Free energy (eV) |
-54.182 |
| Free energy / atom (eV) |
-6.773 |
Lattice Parameters (basic)
| a, b, c (Å): | 3.619 | 5.153 | 30.000 |
| α, β, γ (°): | 90.000 | 90.000 | 90.000 |
Lattice Parameters (computed)
| a, b, c (Å): | 3.608 | 5.145 | 30.000 |
| α, β, γ (°): | 90.000 | 90.000 | 90.000 |
| Property |
Value |
| Band gap |
1.16 eV |
| E-fermi |
-2.756 eV |
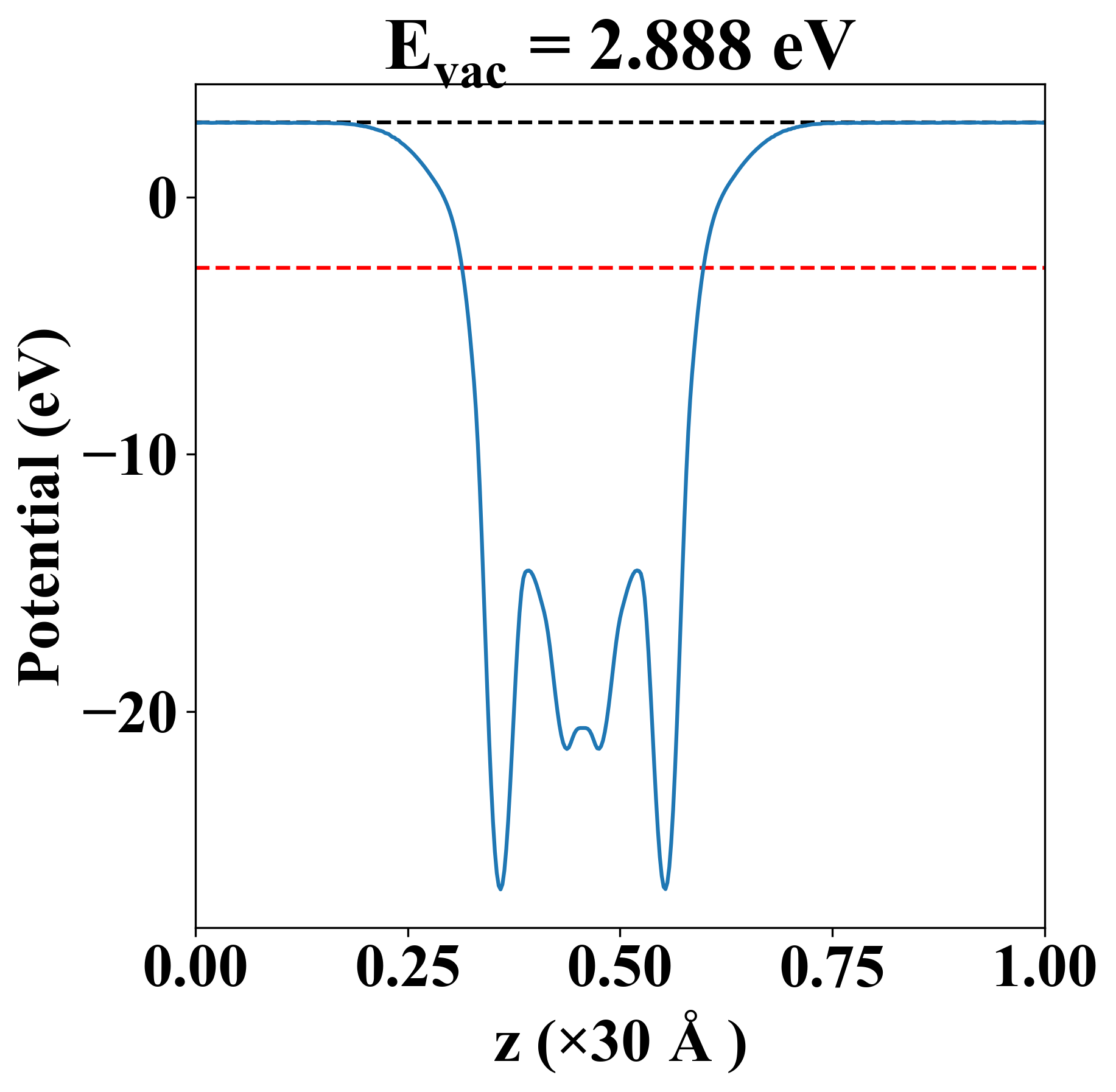
| Vacuum level |
2.888 eV |
| VBM |
-2.999 eV |
| CBM |
-1.840 eV |
| Work function |
5.644 eV |
| Direct gap |
No |
| Property |
Value |
| Band gap |
1.14 eV |
| E-fermi |
-2.756 eV |
| VBM |
-2.998 eV |
| CBM |
-1.854 eV |
| Free energy (eV) |
-55.494 |
| Free energy / atom (eV) |
-6.937 |
| Property |
Value |
| Band gap |
1.16 eV |
| E-fermi |
-2.756 eV |
| Vacuum level |
2.888 eV |
| VBM |
-2.999 eV |
| CBM |
-1.840 eV |
| Work function |
5.644 eV |
| Cij (N/m) |
xx |
yy |
xy |
| xx |
134.325 |
17.070 |
0.000 |
| yy |
17.070 |
87.717 |
0.000 |
| xy |
0.000 |
0.000 |
29.423 |
| Phonon mode at Γ point (THz) |
| -0.004 |
| -0.003 |
| 0.000 |
| 1.878 |
| 2.205 |
| 2.552 |
| 2.662 |
| 3.269 |
| 3.353 |
| 3.490 |
| 6.023 |
| 6.042 |
| 6.551 |
| 6.627 |
| 6.778 |
| 7.403 |
| 7.441 |
| 7.597 |
| 7.658 |
| 9.236 |
| 9.254 |
| 10.020 |
| 15.348 |
| 15.363 |
| Property |
Value |
| from where |
c2db-1741 |