Hf2O6
MatHub2d-1492-Hf2O6
| Property |
Value |
| Space group |
(59, 'Pmmn') |
| Crystal system |
rectangular |
| Magnetic |
No |
| Band gap (PBE) (eV) |
3.26 |
| Free energy (eV) |
-69.270 |
| Free energy / atom (eV) |
-8.659 |
Lattice Parameters (basic)
| a, b, c (Å): | 3.235 | 4.083 | 30.000 |
| α, β, γ (°): | 90.000 | 90.000 | 90.000 |
Lattice Parameters (computed)
| a, b, c (Å): | 3.220 | 4.066 | 30.000 |
| α, β, γ (°): | 90.000 | 90.000 | 90.000 |
| Property |
Value |
| Band gap |
3.26 eV |
| E-fermi |
-5.115 eV |
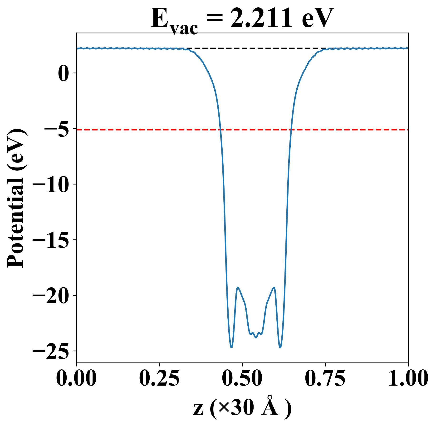
| Vacuum level |
2.211 eV |
| VBM |
-5.393 eV |
| CBM |
-2.128 eV |
| Work function |
7.326 eV |
| Direct gap |
No |
| Property |
Value |
| Band gap |
3.26 eV |
| E-fermi |
-5.044 eV |
| VBM |
-5.422 eV |
| CBM |
-2.159 eV |
| Free energy (eV) |
-70.520 |
| Free energy / atom (eV) |
-8.815 |
| Property |
Value |
| Band gap |
3.26 eV |
| E-fermi |
-5.115 eV |
| Vacuum level |
2.211 eV |
| VBM |
-5.393 eV |
| CBM |
-2.128 eV |
| Work function |
7.326 eV |
| Cij (N/m) |
xx |
yy |
xy |
| xx |
248.067 |
43.221 |
0.000 |
| yy |
43.221 |
142.313 |
-0.000 |
| xy |
0.000 |
-0.000 |
57.562 |
| Phonon mode at Γ point (THz) |
| Property |
Value |
| from where |
c2db-1740 |