Hf2I4
MatHub2d-1491-Hf2I4
| Property |
Value |
| Space group |
(11, 'P2_1/m') |
| Crystal system |
rectangular |
| Magnetic |
No |
| Band gap (PBE) (eV) |
0.64 |
| Free energy (eV) |
-30.245 |
| Free energy / atom (eV) |
-5.041 |
Lattice Parameters (basic)
| a, b, c (Å): | 6.829 | 3.716 | 30.000 |
| α, β, γ (°): | 90.000 | 90.000 | 90.000 |
Lattice Parameters (computed)
| a, b, c (Å): | 6.812 | 3.708 | 30.000 |
| α, β, γ (°): | 90.000 | 90.000 | 90.000 |
| Property |
Value |
| Band gap |
0.64 eV |
| E-fermi |
-1.402 eV |
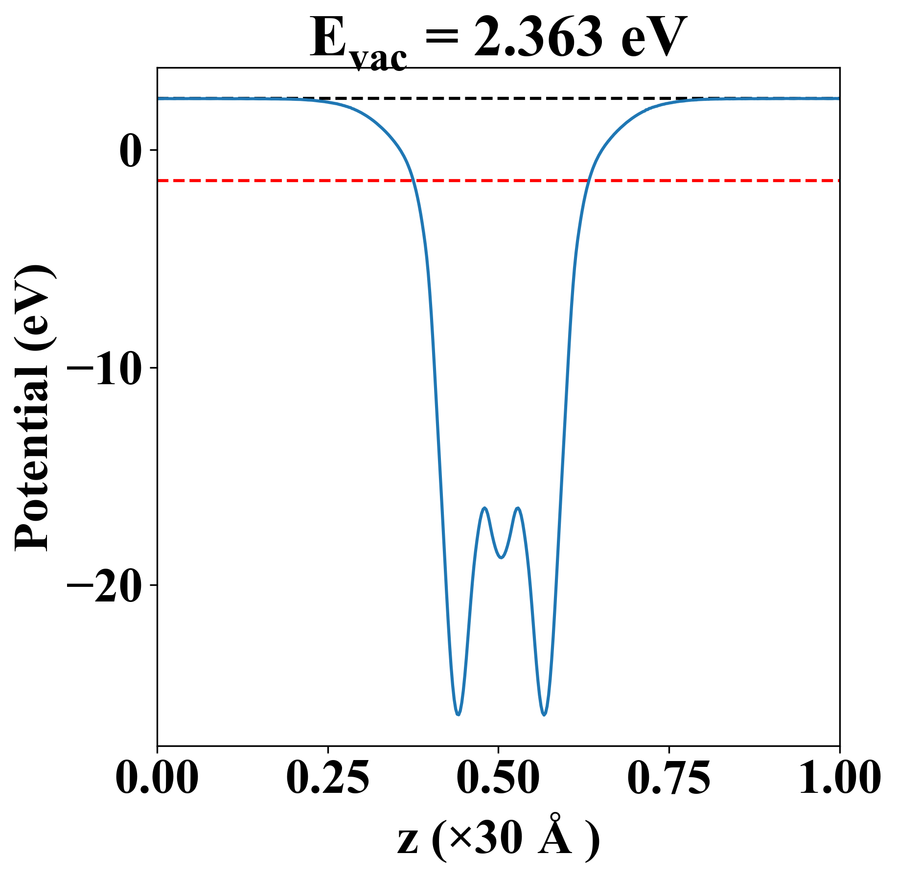
| Vacuum level |
2.363 eV |
| VBM |
-1.621 eV |
| CBM |
-0.978 eV |
| Work function |
3.765 eV |
| Direct gap |
No |
| Property |
Value |
| Band gap |
0.62 eV |
| E-fermi |
-1.342 eV |
| VBM |
-1.610 eV |
| CBM |
-0.990 eV |
| Free energy (eV) |
-32.128 |
| Free energy / atom (eV) |
-5.355 |
| Property |
Value |
| Band gap |
0.64 eV |
| E-fermi |
-1.402 eV |
| Vacuum level |
2.363 eV |
| VBM |
-1.621 eV |
| CBM |
-0.978 eV |
| Work function |
3.765 eV |
| Cij (N/m) |
xx |
yy |
xy |
| xx |
64.410 |
9.638 |
0.000 |
| yy |
9.638 |
68.585 |
-0.000 |
| xy |
0.000 |
-0.000 |
25.458 |
| Phonon mode at Γ point (THz) |
| -0.002 |
| -0.001 |
| 0.001 |
| 1.886 |
| 2.308 |
| 2.517 |
| 2.547 |
| 2.663 |
| 2.792 |
| 3.099 |
| 3.111 |
| 3.478 |
| 3.679 |
| 3.803 |
| 3.897 |
| 4.415 |
| 5.186 |
| 5.307 |
| Property |
Value |
| from where |
c2db-1858 |