Hf2I2Se2
MatHub2d-1490-Hf2I2Se2
| Property |
Value |
| Space group |
(59, 'Pmmn') |
| Crystal system |
rectangular |
| Magnetic |
No |
| Band gap (PBE) (eV) |
0.00 |
| Free energy (eV) |
-36.481 |
| Free energy / atom (eV) |
-6.080 |
Lattice Parameters (basic)
| a, b, c (Å): | 3.863 | 5.268 | 30.000 |
| α, β, γ (°): | 90.000 | 90.000 | 90.000 |
Lattice Parameters (computed)
| a, b, c (Å): | 3.864 | 5.253 | 30.000 |
| α, β, γ (°): | 90.000 | 90.000 | 90.000 |
| Property |
Value |
| Band gap |
0.00 eV |
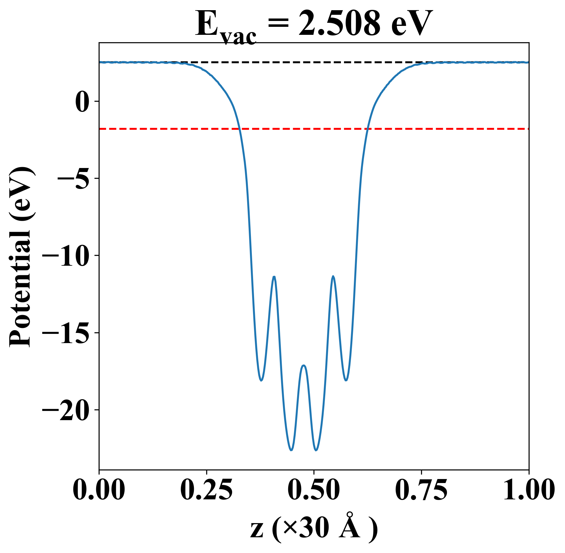
| E-fermi |
-1.793 eV |
| Vacuum level |
2.508 eV |
| VBM |
-1.798 eV |
| CBM |
-1.787 eV |
| Work function |
4.301 eV |
| Direct gap |
No |
| Property |
Value |
| Band gap |
0.00 eV |
| E-fermi |
-1.793 eV |
| Vacuum level |
2.508 eV |
| VBM |
-1.798 eV |
| CBM |
-1.787 eV |
| Work function |
4.301 eV |
| Cij (N/m) |
xx |
yy |
xy |
| xx |
59.896 |
3.915 |
0.000 |
| yy |
3.915 |
137.333 |
0.000 |
| xy |
0.000 |
0.000 |
17.120 |
| Phonon mode at Γ point (THz) |
| -0.003 |
| -0.001 |
| -0.001 |
| 1.275 |
| 1.453 |
| 2.138 |
| 2.167 |
| 2.225 |
| 2.775 |
| 3.003 |
| 4.136 |
| 4.207 |
| 4.799 |
| 5.135 |
| 5.461 |
| 5.730 |
| 6.775 |
| 6.803 |
| Property |
Value |
| from where |
c2db-158 |