Hf2I2S2
MatHub2d-1489-Hf2I2S2
| Property |
Value |
| Space group |
(59, 'Pmmn') |
| Crystal system |
rectangular |
| Magnetic |
No |
| Band gap (PBE) (eV) |
0.01 |
| Free energy (eV) |
-38.767 |
| Free energy / atom (eV) |
-6.461 |
Lattice Parameters (basic)
| a, b, c (Å): | 3.823 | 5.031 | 30.000 |
| α, β, γ (°): | 90.000 | 90.000 | 90.000 |
Lattice Parameters (computed)
| a, b, c (Å): | 3.837 | 5.010 | 30.000 |
| α, β, γ (°): | 90.000 | 90.000 | 90.000 |
| Property |
Value |
| Band gap |
0.01 eV |
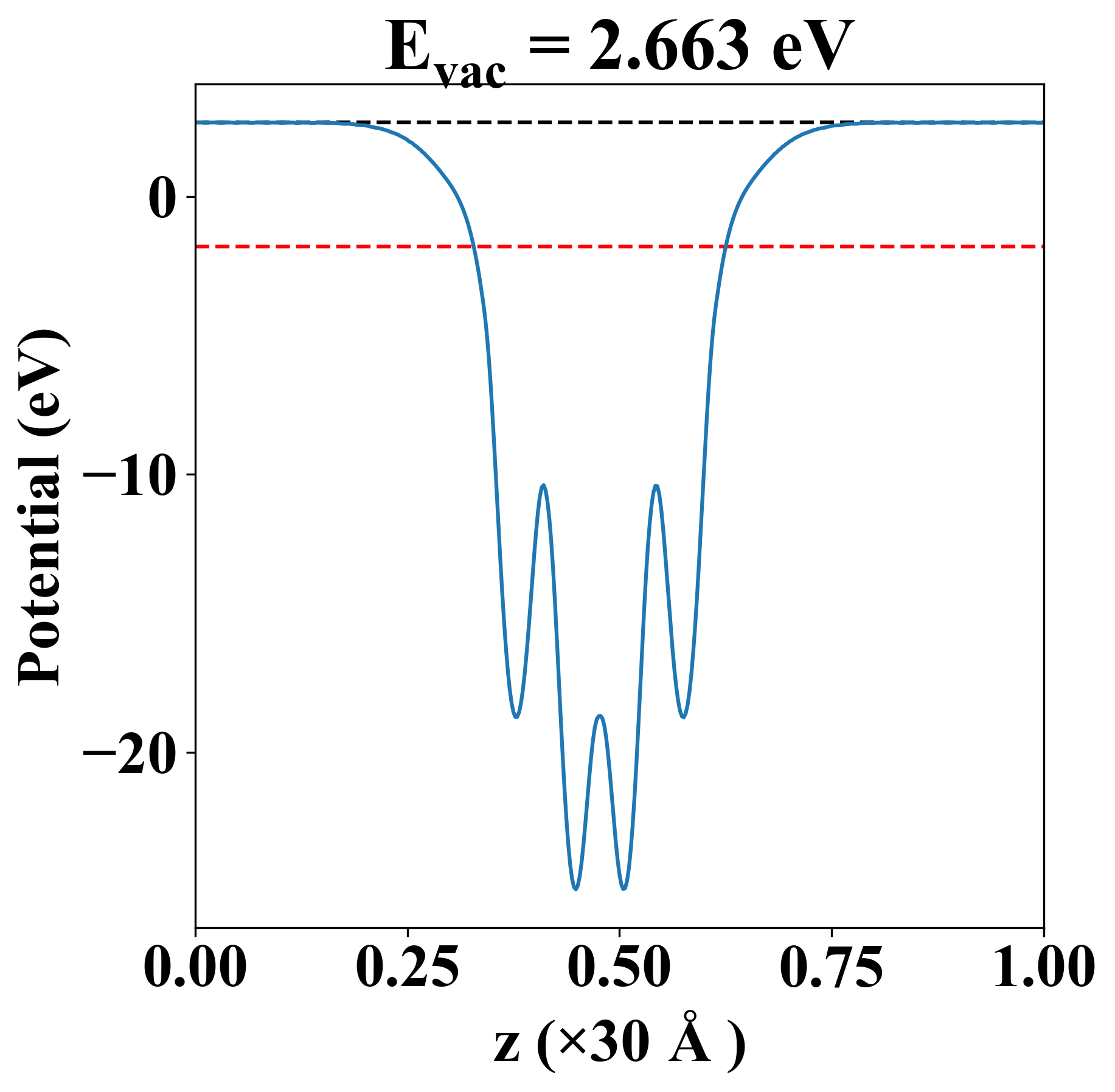
| E-fermi |
-1.799 eV |
| Vacuum level |
2.663 eV |
| VBM |
-1.802 eV |
| CBM |
-1.797 eV |
| Work function |
4.461 eV |
| Direct gap |
No |
| Property |
Value |
| Band gap |
0.01 eV |
| E-fermi |
-1.799 eV |
| Vacuum level |
2.663 eV |
| VBM |
-1.802 eV |
| CBM |
-1.797 eV |
| Work function |
4.461 eV |
| Cij (N/m) |
xx |
yy |
xy |
| xx |
67.711 |
4.232 |
0.000 |
| yy |
4.232 |
161.171 |
0.000 |
| xy |
0.000 |
0.000 |
19.312 |
| Phonon mode at Γ point (THz) |
| -0.003 |
| -0.001 |
| -0.001 |
| 1.519 |
| 1.834 |
| 2.145 |
| 2.407 |
| 2.567 |
| 2.882 |
| 2.979 |
| 4.500 |
| 4.560 |
| 7.851 |
| 8.111 |
| 8.157 |
| 8.351 |
| 10.224 |
| 10.865 |
| Property |
Value |
| from where |
c2db-157 |