Hf2I2N2
MatHub2d-1487-Hf2I2N2
| Property |
Value |
| Space group |
(59, 'Pmmn') |
| Crystal system |
rectangular |
| Magnetic |
No |
| Band gap (PBE) (eV) |
1.72 |
| Free energy (eV) |
-48.422 |
| Free energy / atom (eV) |
-8.070 |
Lattice Parameters (basic)
| a, b, c (Å): | 3.723 | 4.142 | 30.000 |
| α, β, γ (°): | 90.000 | 90.000 | 90.000 |
Lattice Parameters (computed)
| a, b, c (Å): | 3.714 | 4.124 | 30.000 |
| α, β, γ (°): | 90.000 | 90.000 | 90.000 |
| Property |
Value |
| Band gap |
1.72 eV |
| E-fermi |
-2.713 eV |
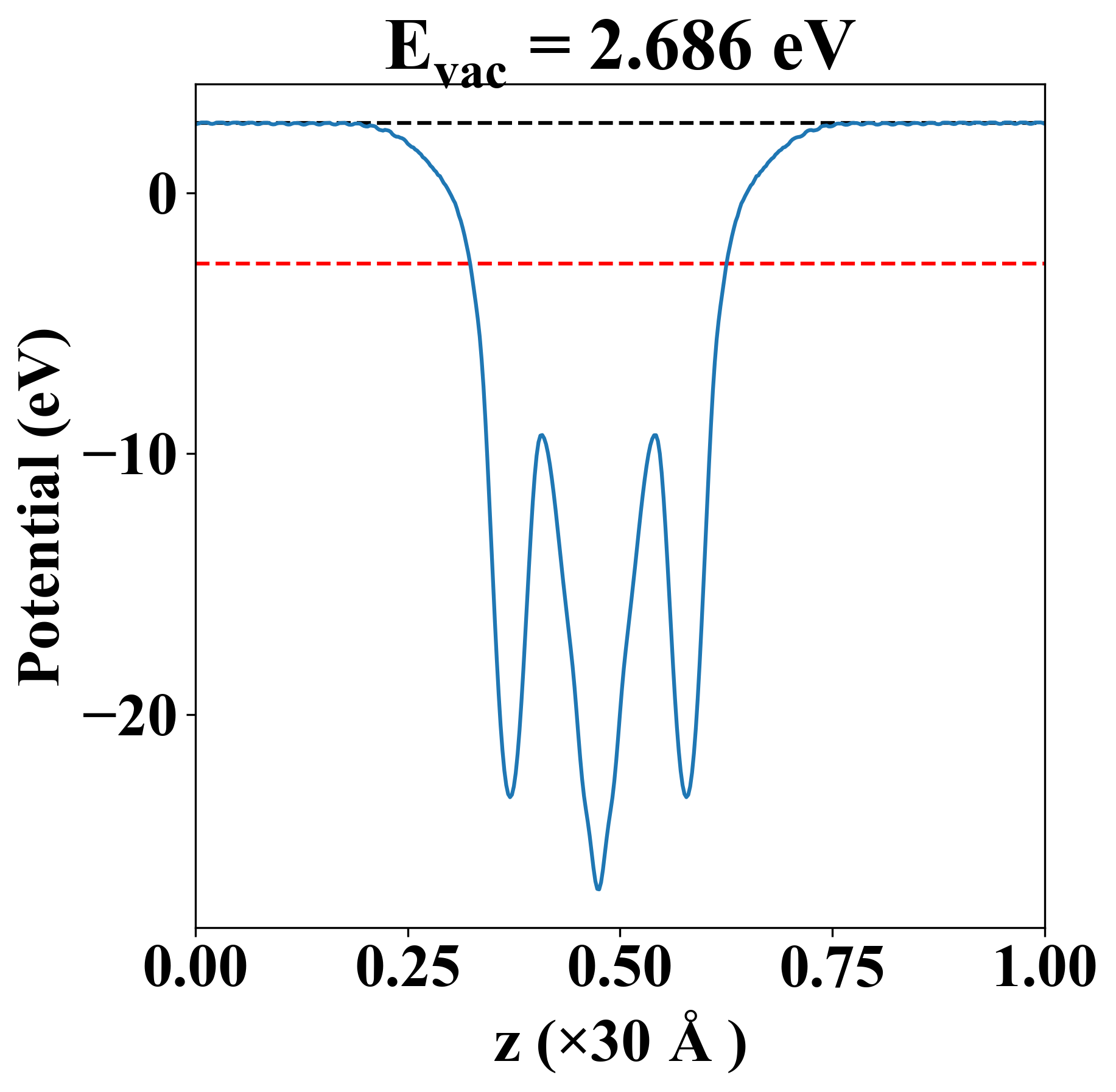
| Vacuum level |
2.686 eV |
| VBM |
-2.970 eV |
| CBM |
-1.253 eV |
| Work function |
5.399 eV |
| Direct gap |
Yes |
| Property |
Value |
| Band gap |
1.61 eV |
| E-fermi |
-2.537 eV |
| VBM |
-2.861 eV |
| CBM |
-1.254 eV |
| Free energy (eV) |
-49.979 |
| Free energy / atom (eV) |
-8.330 |
| Property |
Value |
| Band gap |
1.72 eV |
| E-fermi |
-2.713 eV |
| Vacuum level |
2.686 eV |
| VBM |
-2.970 eV |
| CBM |
-1.253 eV |
| Work function |
5.399 eV |
| Cij (N/m) |
xx |
yy |
xy |
| xx |
145.062 |
38.855 |
0.000 |
| yy |
38.855 |
136.215 |
0.000 |
| xy |
0.000 |
0.000 |
68.445 |
| Phonon mode at Γ point (THz) |
| -0.005 |
| -0.004 |
| -0.001 |
| 1.055 |
| 1.393 |
| 1.865 |
| 2.310 |
| 3.000 |
| 3.962 |
| 4.410 |
| 4.835 |
| 6.092 |
| 11.042 |
| 12.162 |
| 12.487 |
| 17.065 |
| 17.997 |
| 19.290 |
| Property |
Value |
| from where |
c2db-155 |