Hf1Se8Zr3
MatHub2d-1486-Hf1Se8Zr3
| Property |
Value |
| Space group |
(1, 'P1') |
| Crystal system |
rectangular |
| Magnetic |
No |
| Band gap (PBE) (eV) |
0.87 |
| Free energy (eV) |
-77.940 |
| Free energy / atom (eV) |
-6.495 |
Lattice Parameters (basic)
| a, b, c (Å): | 6.404 | 7.387 | 30.000 |
| α, β, γ (°): | 90.000 | 90.000 | 90.000 |
Lattice Parameters (computed)
| a, b, c (Å): | 6.407 | 7.390 | 30.000 |
| α, β, γ (°): | 90.000 | 90.000 | 90.000 |
| Property |
Value |
| Band gap |
0.87 eV |
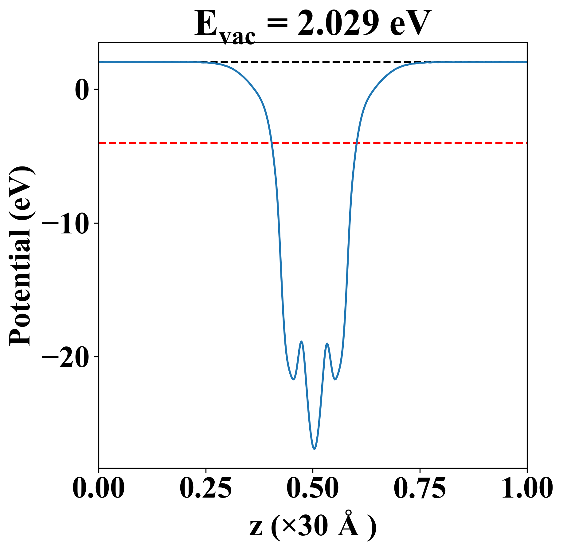
| E-fermi |
-4.005 eV |
| Vacuum level |
2.029 eV |
| VBM |
-4.238 eV |
| CBM |
-3.368 eV |
| Work function |
6.034 eV |
| Direct gap |
No |
| Property |
Value |
| Band gap |
0.87 eV |
| E-fermi |
-4.005 eV |
| Vacuum level |
2.029 eV |
| VBM |
-4.238 eV |
| CBM |
-3.368 eV |
| Work function |
6.034 eV |
| Cij (N/m) |
xx |
yy |
xy |
| xx |
43.717 |
8.368 |
0.000 |
| yy |
8.368 |
32.244 |
0.000 |
| xy |
0.000 |
0.000 |
12.671 |
| Phonon mode at Γ point (THz) |
| Property |
Value |
| from where |
c2db-1582 |