Ge2I2S2
MatHub2d-1483-Ge2I2S2
| Property |
Value |
| Space group |
(59, 'Pmmn') |
| Crystal system |
rectangular |
| Magnetic |
No |
| Band gap (PBE) (eV) |
0.00 |
| Free energy (eV) |
-21.288 |
| Free energy / atom (eV) |
-3.548 |
Lattice Parameters (basic)
| a, b, c (Å): | 3.753 | 5.097 | 30.000 |
| α, β, γ (°): | 90.000 | 90.000 | 90.000 |
Lattice Parameters (computed)
| a, b, c (Å): | 3.747 | 5.095 | 30.000 |
| α, β, γ (°): | 90.000 | 90.000 | 90.000 |
| Property |
Value |
| Band gap |
0.00 eV |
| E-fermi |
-2.794 eV |
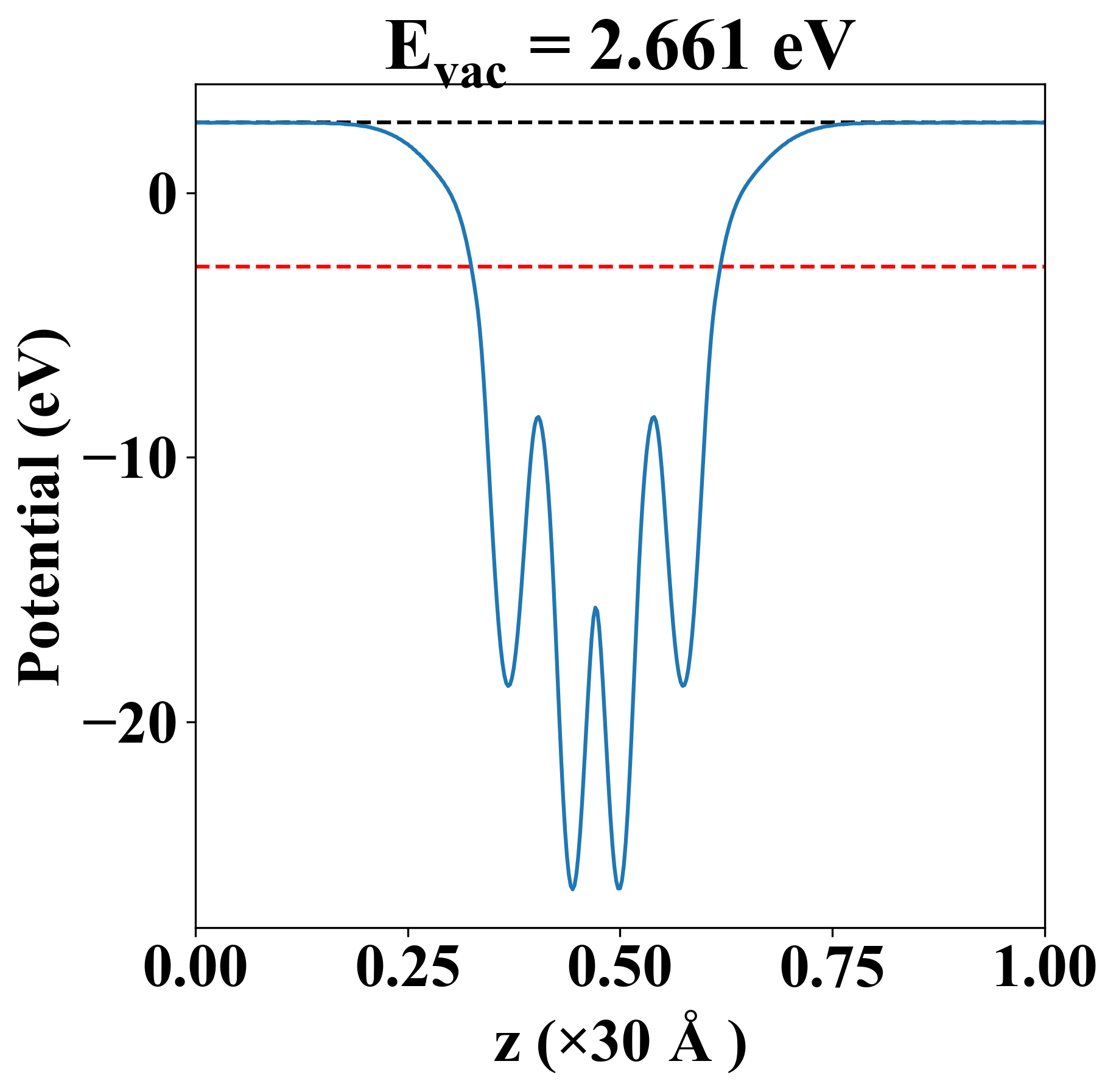
| Vacuum level |
2.661 eV |
| VBM |
-2.796 eV |
| CBM |
-2.793 eV |
| Work function |
5.455 eV |
| Direct gap |
No |
| Property |
Value |
| Band gap |
0.00 eV |
| E-fermi |
-2.794 eV |
| Vacuum level |
2.661 eV |
| VBM |
-2.796 eV |
| CBM |
-2.793 eV |
| Work function |
5.455 eV |
| Cij (N/m) |
xx |
yy |
xy |
| xx |
57.235 |
23.948 |
0.000 |
| yy |
23.948 |
59.124 |
0.000 |
| xy |
0.000 |
0.000 |
14.445 |
| Phonon mode at Γ point (THz) |
| -0.028 |
| -0.011 |
| -0.003 |
| 1.116 |
| 1.178 |
| 1.386 |
| 1.571 |
| 2.201 |
| 2.412 |
| 2.609 |
| 2.655 |
| 4.411 |
| 4.559 |
| 4.659 |
| 5.350 |
| 6.927 |
| 7.097 |
| 7.244 |
| Property |
Value |
| from where |
c2db-146 |