Ge2I2N2
MatHub2d-1481-Ge2I2N2
| Property |
Value |
| Space group |
(59, 'Pmmn') |
| Crystal system |
rectangular |
| Magnetic |
No |
| Band gap (PBE) (eV) |
0.00 |
| Free energy (eV) |
-27.262 |
| Free energy / atom (eV) |
-4.544 |
Lattice Parameters (basic)
| a, b, c (Å): | 3.517 | 3.875 | 30.000 |
| α, β, γ (°): | 90.000 | 90.000 | 90.000 |
Lattice Parameters (computed)
| a, b, c (Å): | 3.523 | 3.867 | 30.000 |
| α, β, γ (°): | 90.000 | 90.000 | 90.000 |
| Property |
Value |
| Band gap |
0.00 eV |
| E-fermi |
-2.086 eV |
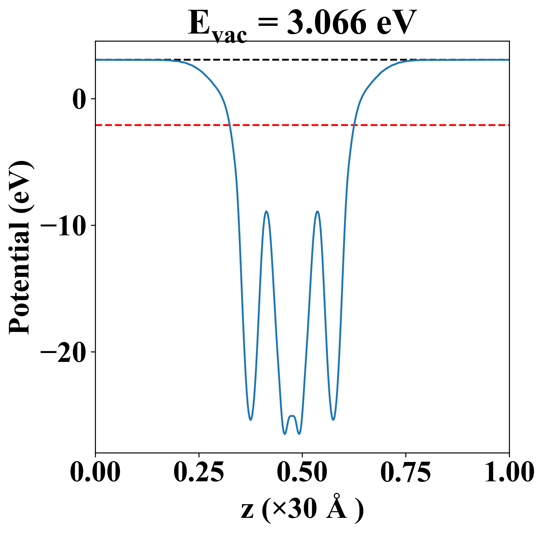
| Vacuum level |
3.066 eV |
| VBM |
-2.087 eV |
| CBM |
-2.086 eV |
| Work function |
5.151 eV |
| Direct gap |
No |
| Property |
Value |
| Band gap |
0.00 eV |
| E-fermi |
-2.086 eV |
| Vacuum level |
3.066 eV |
| VBM |
-2.087 eV |
| CBM |
-2.086 eV |
| Work function |
5.151 eV |
| Cij (N/m) |
xx |
yy |
xy |
| xx |
134.928 |
59.138 |
0.000 |
| yy |
59.138 |
129.108 |
0.000 |
| xy |
0.000 |
0.000 |
70.656 |
| Phonon mode at Γ point (THz) |
| -0.110 |
| -0.039 |
| -0.003 |
| 0.429 |
| 0.701 |
| 1.183 |
| 1.988 |
| 3.148 |
| 4.157 |
| 4.671 |
| 6.588 |
| 6.754 |
| 7.967 |
| 12.018 |
| 13.497 |
| 14.782 |
| 14.803 |
| 21.523 |
| Property |
Value |
| from where |
c2db-144 |