Ga2I2Se2
MatHub2d-1480-Ga2I2Se2
| Property |
Value |
| Space group |
(59, 'Pmmn') |
| Crystal system |
rectangular |
| Magnetic |
No |
| Band gap (PBE) (eV) |
0.84 |
| Free energy (eV) |
-18.379 |
| Free energy / atom (eV) |
-3.063 |
Lattice Parameters (basic)
| a, b, c (Å): | 3.836 | 5.385 | 30.000 |
| α, β, γ (°): | 90.000 | 90.000 | 90.000 |
Lattice Parameters (computed)
| a, b, c (Å): | 3.810 | 5.337 | 30.000 |
| α, β, γ (°): | 90.000 | 90.000 | 90.000 |
| Property |
Value |
| Band gap |
0.84 eV |
| E-fermi |
-3.056 eV |
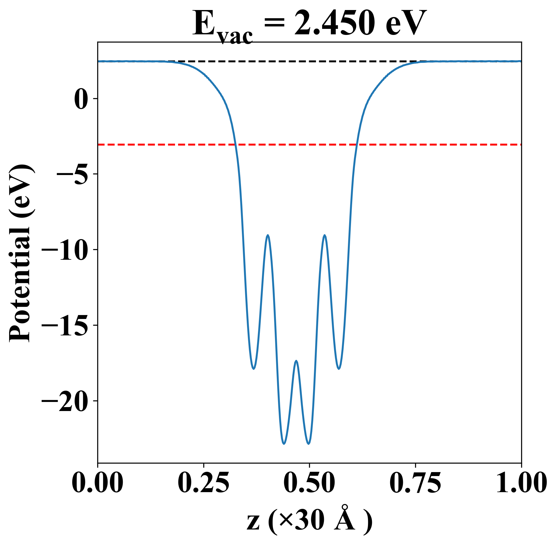
| Vacuum level |
2.450 eV |
| VBM |
-3.346 eV |
| CBM |
-2.508 eV |
| Work function |
5.506 eV |
| Direct gap |
No |
| Property |
Value |
| Band gap |
0.85 eV |
| E-fermi |
-3.074 eV |
| VBM |
-3.311 eV |
| CBM |
-2.461 eV |
| Free energy (eV) |
-18.722 |
| Free energy / atom (eV) |
-3.120 |
| Property |
Value |
| Band gap |
0.84 eV |
| E-fermi |
-3.056 eV |
| Vacuum level |
2.450 eV |
| VBM |
-3.346 eV |
| CBM |
-2.508 eV |
| Work function |
5.506 eV |
| Cij (N/m) |
xx |
yy |
xy |
| xx |
84.203 |
14.827 |
0.000 |
| yy |
14.827 |
37.693 |
0.000 |
| xy |
0.000 |
0.000 |
21.056 |
| Phonon mode at Γ point (THz) |
| -1.202 |
| -0.285 |
| -0.015 |
| -0.001 |
| 0.006 |
| 0.462 |
| 1.272 |
| 1.465 |
| 1.624 |
| 1.865 |
| 2.019 |
| 4.344 |
| 4.370 |
| 4.839 |
| 4.997 |
| 5.912 |
| 6.438 |
| 6.919 |
| Property |
Value |
| from where |
c2db-143 |