Ga2I2O2
MatHub2d-1478-Ga2I2O2
| Property |
Value |
| Space group |
(59, 'Pmmn') |
| Crystal system |
rectangular |
| Magnetic |
No |
| Band gap (PBE) (eV) |
1.12 |
| Free energy (eV) |
-25.818 |
| Free energy / atom (eV) |
-4.303 |
Lattice Parameters (basic)
| a, b, c (Å): | 3.625 | 3.835 | 30.000 |
| α, β, γ (°): | 90.000 | 90.000 | 90.000 |
Lattice Parameters (computed)
| a, b, c (Å): | 3.612 | 3.710 | 30.000 |
| α, β, γ (°): | 90.000 | 90.000 | 90.000 |
| Property |
Value |
| Band gap |
1.12 eV |
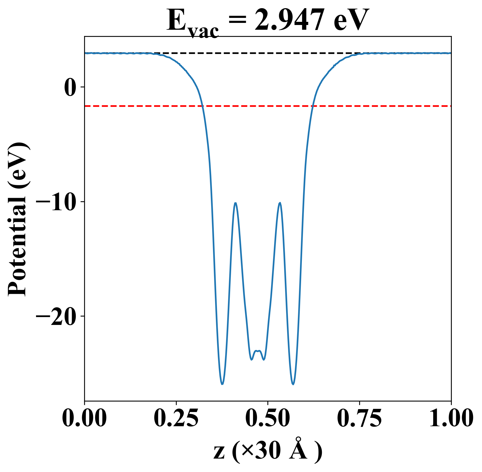
| E-fermi |
-1.663 eV |
| Vacuum level |
2.947 eV |
| VBM |
-1.959 eV |
| CBM |
-0.837 eV |
| Work function |
4.610 eV |
| Direct gap |
No |
| Property |
Value |
| Band gap |
1.14 eV |
| E-fermi |
-1.654 eV |
| VBM |
-1.934 eV |
| CBM |
-0.794 eV |
| Free energy (eV) |
-26.098 |
| Free energy / atom (eV) |
-4.350 |
| Property |
Value |
| Band gap |
1.12 eV |
| E-fermi |
-1.663 eV |
| Vacuum level |
2.947 eV |
| VBM |
-1.959 eV |
| CBM |
-0.837 eV |
| Work function |
4.610 eV |
| Cij (N/m) |
xx |
yy |
xy |
| xx |
129.866 |
54.267 |
0.000 |
| yy |
54.267 |
133.418 |
0.000 |
| xy |
0.000 |
0.000 |
45.872 |
| Phonon mode at Γ point (THz) |
| Property |
Value |
| from where |
c2db-141 |