Ga2I2N2
MatHub2d-1477-Ga2I2N2
| Property |
Value |
| Space group |
(59, 'Pmmn') |
| Crystal system |
rectangular |
| Magnetic |
Yes |
| Band gap (PBE) (eV) |
0.00 |
| Free energy (eV) |
-25.083 |
| Free energy / atom (eV) |
-4.180 |
Lattice Parameters (basic)
| a, b, c (Å): | 3.257 | 4.051 | 30.000 |
| α, β, γ (°): | 90.000 | 90.000 | 90.000 |
Lattice Parameters (computed)
| a, b, c (Å): | 3.206 | 3.897 | 30.000 |
| α, β, γ (°): | 90.000 | 90.000 | 90.000 |
| Property |
Value |
| Band gap |
0.00 eV |
| E-fermi |
-2.411 eV |
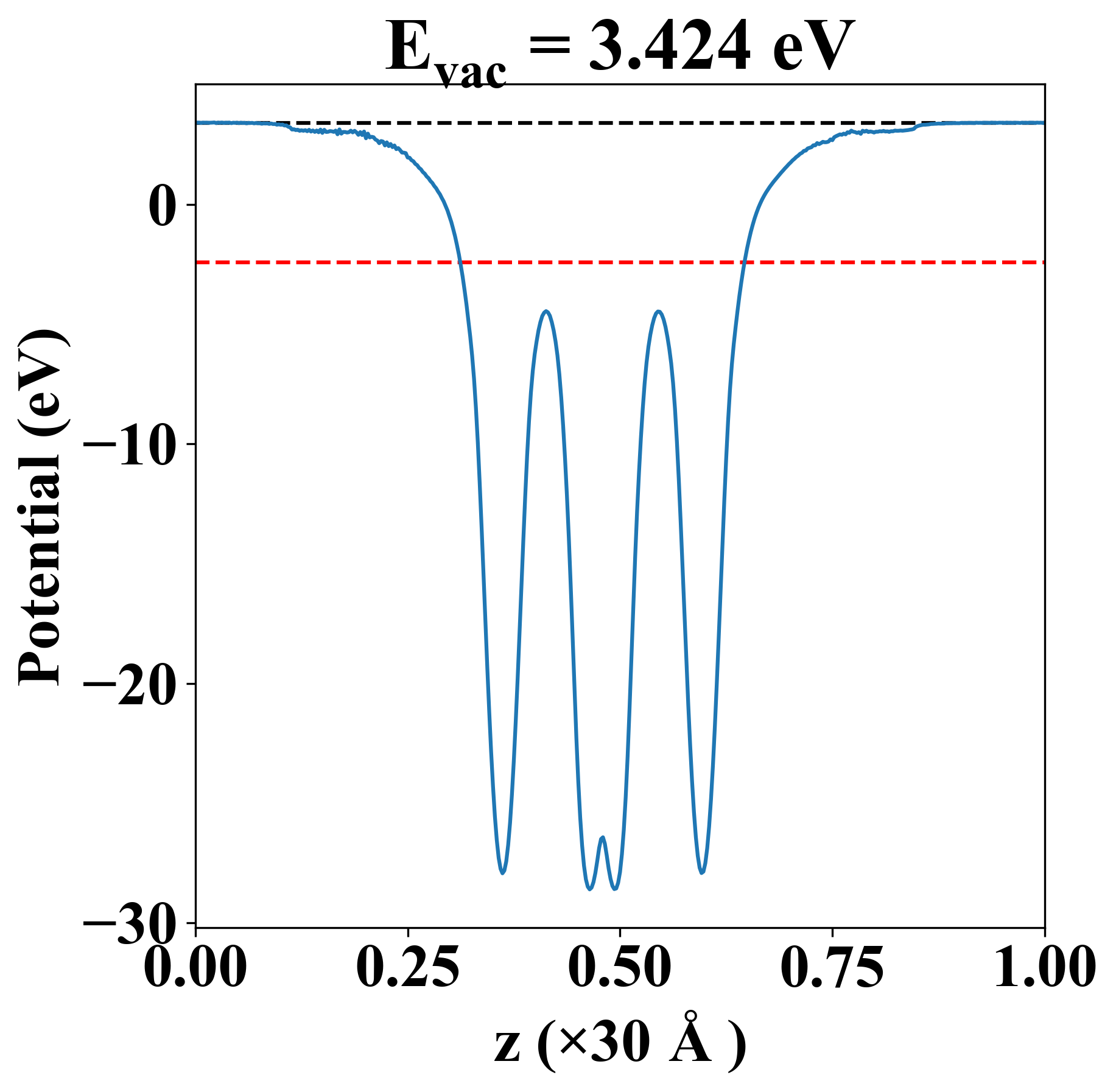
| Vacuum level |
3.424 eV |
| VBM |
-2.412 eV |
| CBM |
-2.411 eV |
| Work function |
5.834 eV |
| Direct gap |
No |
| Property |
Value |
| Band gap |
0.00 eV |
| E-fermi |
-2.411 eV |
| Vacuum level |
3.424 eV |
| VBM |
-2.412 eV |
| CBM |
-2.411 eV |
| Work function |
5.834 eV |
| Cij (N/m) |
xx |
yy |
xy |
| xx |
88.271 |
-10.659 |
0.000 |
| yy |
-10.659 |
125.463 |
0.000 |
| xy |
0.000 |
0.000 |
41.990 |
| Phonon mode at Γ point (THz) |
| Property |
Value |
| from where |
c2db-140 |