Ga2
MatHub2d-1476-Ga2
| Property |
Value |
| Space group |
(51, 'Pmma') |
| Crystal system |
rectangular |
| Magnetic |
No |
| Band gap (PBE) (eV) |
0.00 |
| Free energy (eV) |
-5.242 |
| Free energy / atom (eV) |
-2.621 |
Lattice Parameters (basic)
| a, b, c (Å): | 2.720 | 2.638 | 30.000 |
| α, β, γ (°): | 90.000 | 90.000 | 90.000 |
Lattice Parameters (computed)
| a, b, c (Å): | 2.739 | 2.564 | 30.000 |
| α, β, γ (°): | 90.000 | 90.000 | 90.000 |
| Property |
Value |
| Band gap |
0.00 eV |
| E-fermi |
-2.825 eV |
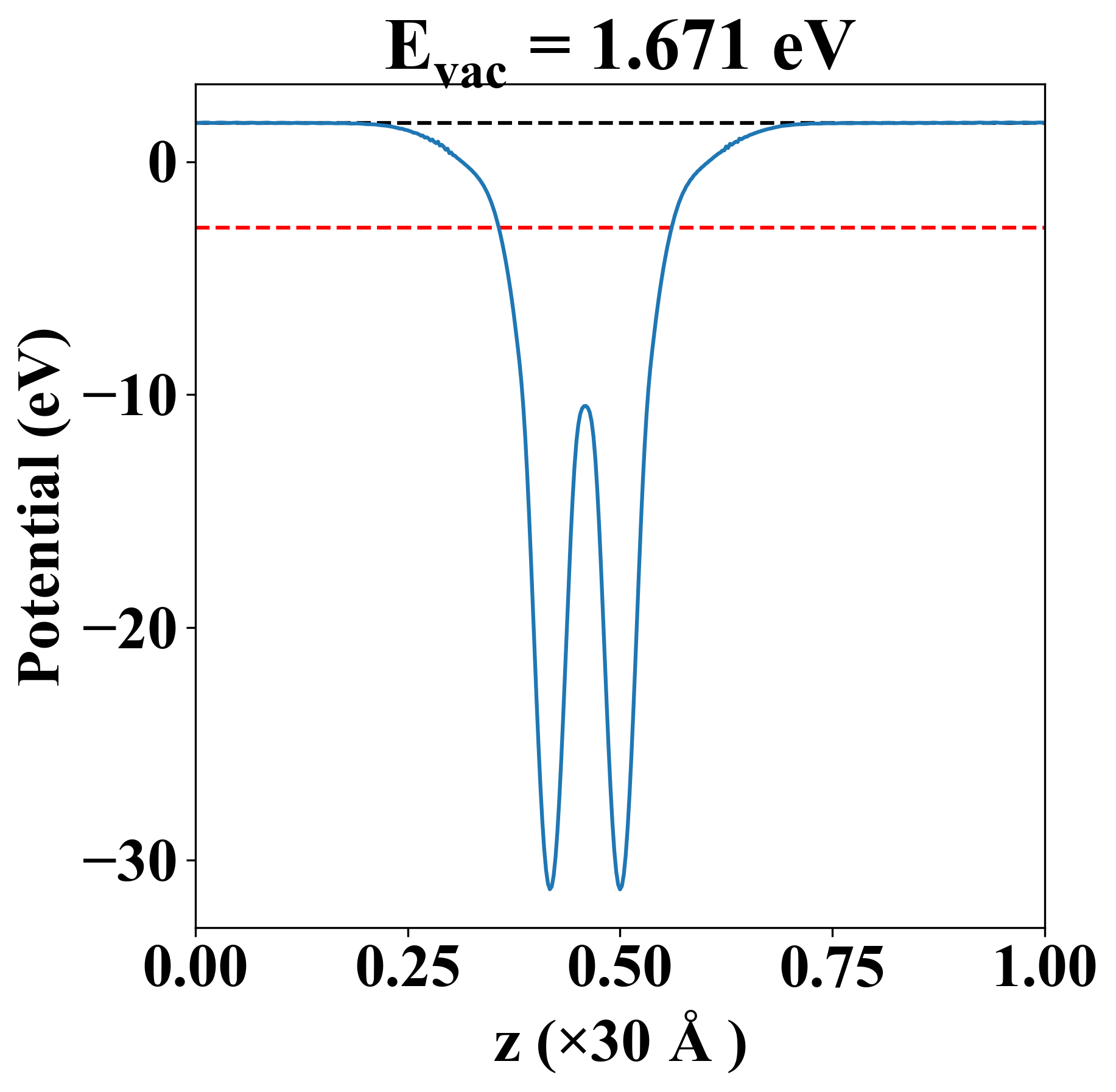
| Vacuum level |
1.671 eV |
| VBM |
-2.826 eV |
| CBM |
-2.822 eV |
| Work function |
4.496 eV |
| Direct gap |
No |
| Property |
Value |
| Band gap |
0.00 eV |
| E-fermi |
-2.825 eV |
| Vacuum level |
1.671 eV |
| VBM |
-2.826 eV |
| CBM |
-2.822 eV |
| Work function |
4.496 eV |
| Cij (N/m) |
xx |
yy |
xy |
| xx |
61.616 |
19.663 |
-0.000 |
| yy |
19.663 |
94.105 |
-0.000 |
| xy |
-0.000 |
-0.000 |
-7.387 |
| Phonon mode at Γ point (THz) |
| Property |
Value |
| from where |
JVASP-27834 |