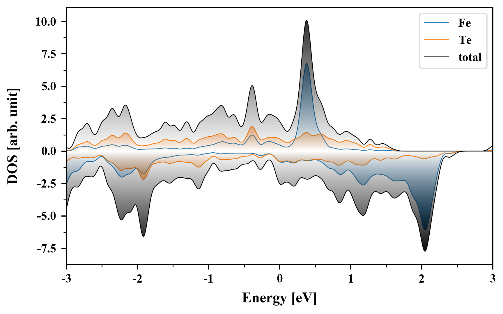
Fe2Te4
MatHub2d-1474-Fe2Te4
| Property |
Value |
| Space group |
(11, 'P2_1/m') |
| Crystal system |
rectangular |
| Magnetic |
Yes |
| Band gap (PBE) (eV) |
0.00 |
| Free energy (eV) |
-19.922 |
| Free energy / atom (eV) |
-3.320 |
Lattice Parameters (basic)
| a, b, c (Å): | 5.938 | 3.649 | 30.000 |
| α, β, γ (°): | 90.000 | 90.000 | 90.000 |
Lattice Parameters (computed)
| a, b, c (Å): | 6.380 | 3.734 | 30.000 |
| α, β, γ (°): | 90.000 | 90.000 | 90.000 |
| Property |
Value |
| Band gap |
0.00 eV |
| E-fermi |
-2.445 eV |
| Vacuum level |
2.292 eV |
| VBM |
-2.446 eV |
| CBM |
-2.445 eV |
| Work function |
4.737 eV |
| Direct gap |
No |
| Property |
Value |
| Band gap |
0.00 eV |
| E-fermi |
-2.445 eV |
| Vacuum level |
2.292 eV |
| VBM |
-2.446 eV |
| CBM |
-2.445 eV |
| Work function |
4.737 eV |
| Cij (N/m) |
xx |
yy |
xy |
| xx |
31.590 |
9.238 |
0.000 |
| yy |
9.238 |
30.201 |
0.000 |
| xy |
0.000 |
0.000 |
9.000 |
| Phonon mode at Γ point (THz) |
| Property |
Value |
| from where |
c2db-1853 |