Fe2I2S2
MatHub2d-1467-Fe2I2S2
| Property |
Value |
| Space group |
(59, 'Pmmn') |
| Crystal system |
rectangular |
| Magnetic |
Yes |
| Band gap (PBE) (eV) |
0.00 |
| Free energy (eV) |
-23.929 |
| Free energy / atom (eV) |
-3.988 |
Lattice Parameters (basic)
| a, b, c (Å): | 3.627 | 4.393 | 30.000 |
| α, β, γ (°): | 90.000 | 90.000 | 90.000 |
Lattice Parameters (computed)
| a, b, c (Å): | 3.773 | 4.955 | 30.000 |
| α, β, γ (°): | 90.000 | 90.000 | 90.000 |
| Property |
Value |
| Band gap |
0.00 eV |
| E-fermi |
-3.003 eV |
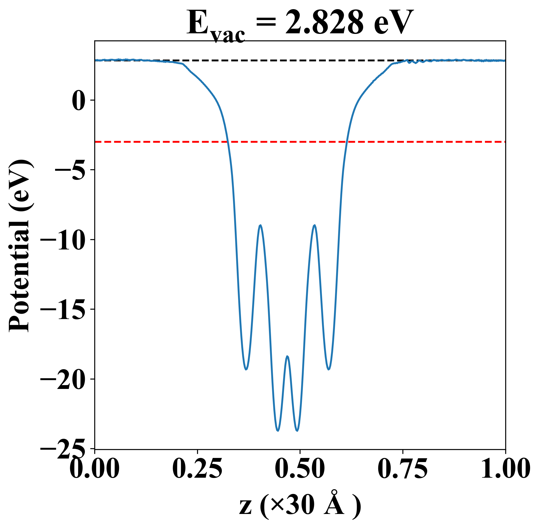
| Vacuum level |
2.828 eV |
| VBM |
-3.175 eV |
| CBM |
-2.835 eV |
| Work function |
5.832 eV |
| Direct gap |
Yes |
| Property |
Value |
| Band gap |
0.31 eV |
| E-fermi |
-2.922 eV |
| VBM |
-3.083 eV |
| CBM |
-2.769 eV |
| Free energy (eV) |
-24.212 |
| Free energy / atom (eV) |
-4.035 |
| Property |
Value |
| Band gap |
0.00 eV |
| E-fermi |
-3.003 eV |
| Vacuum level |
2.828 eV |
| VBM |
-3.175 eV |
| CBM |
-2.835 eV |
| Work function |
5.832 eV |
| Cij (N/m) |
xx |
yy |
xy |
| xx |
49.494 |
14.279 |
0.000 |
| yy |
14.279 |
9.173 |
0.000 |
| xy |
0.000 |
0.000 |
14.095 |
| Phonon mode at Γ point (THz) |
| -6.774 |
| -5.427 |
| -1.906 |
| -0.890 |
| -0.009 |
| -0.008 |
| 0.009 |
| 0.983 |
| 1.438 |
| 1.910 |
| 2.113 |
| 2.345 |
| 2.664 |
| 3.064 |
| 3.278 |
| 4.825 |
| 5.171 |
| 6.230 |
| Property |
Value |
| from where |
c2db-127 |