Fe2I2O2
MatHub2d-1466-Fe2I2O2
| Property |
Value |
| Space group |
(59, 'Pmmn') |
| Crystal system |
rectangular |
| Magnetic |
Yes |
| Band gap (PBE) (eV) |
0.00 |
| Free energy (eV) |
-29.529 |
| Free energy / atom (eV) |
-4.922 |
Lattice Parameters (basic)
| a, b, c (Å): | 3.581 | 3.851 | 30.000 |
| α, β, γ (°): | 90.000 | 90.000 | 90.000 |
Lattice Parameters (computed)
| a, b, c (Å): | 3.587 | 3.926 | 30.000 |
| α, β, γ (°): | 90.000 | 90.000 | 90.000 |
| Property |
Value |
| Band gap |
0.00 eV |
| E-fermi |
-2.416 eV |
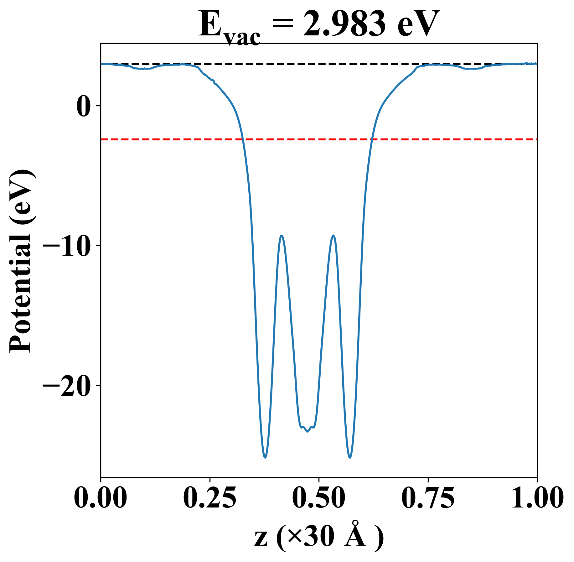
| Vacuum level |
2.983 eV |
| VBM |
-2.524 eV |
| CBM |
-2.313 eV |
| Work function |
5.399 eV |
| Direct gap |
No |
| Property |
Value |
| Band gap |
0.20 eV |
| E-fermi |
-2.375 eV |
| VBM |
-2.478 eV |
| CBM |
-2.277 eV |
| Free energy (eV) |
-29.834 |
| Free energy / atom (eV) |
-4.972 |
| Property |
Value |
| Band gap |
0.00 eV |
| E-fermi |
-2.416 eV |
| Vacuum level |
2.983 eV |
| VBM |
-2.524 eV |
| CBM |
-2.313 eV |
| Work function |
5.399 eV |
| Cij (N/m) |
xx |
yy |
xy |
| xx |
50.023 |
46.927 |
0.000 |
| yy |
46.927 |
75.514 |
0.000 |
| xy |
0.000 |
0.000 |
23.470 |
| Phonon mode at Γ point (THz) |
| -4.318 |
| -3.665 |
| -3.522 |
| -0.003 |
| 0.012 |
| 0.014 |
| 1.352 |
| 1.356 |
| 1.972 |
| 2.734 |
| 3.221 |
| 3.600 |
| 3.836 |
| 5.897 |
| 6.577 |
| 9.021 |
| 10.555 |
| 11.231 |
| Property |
Value |
| from where |
c2db-125 |