Fe2I2N2
MatHub2d-1465-Fe2I2N2
| Property |
Value |
| Space group |
(59, 'Pmmn') |
| Crystal system |
rectangular |
| Magnetic |
Yes |
| Band gap (PBE) (eV) |
0.00 |
| Free energy (eV) |
-28.865 |
| Free energy / atom (eV) |
-4.811 |
Lattice Parameters (basic)
| a, b, c (Å): | 3.170 | 3.875 | 30.000 |
| α, β, γ (°): | 90.000 | 90.000 | 90.000 |
Lattice Parameters (computed)
| a, b, c (Å): | 3.361 | 3.949 | 30.000 |
| α, β, γ (°): | 90.000 | 90.000 | 90.000 |
| Property |
Value |
| Band gap |
0.00 eV |
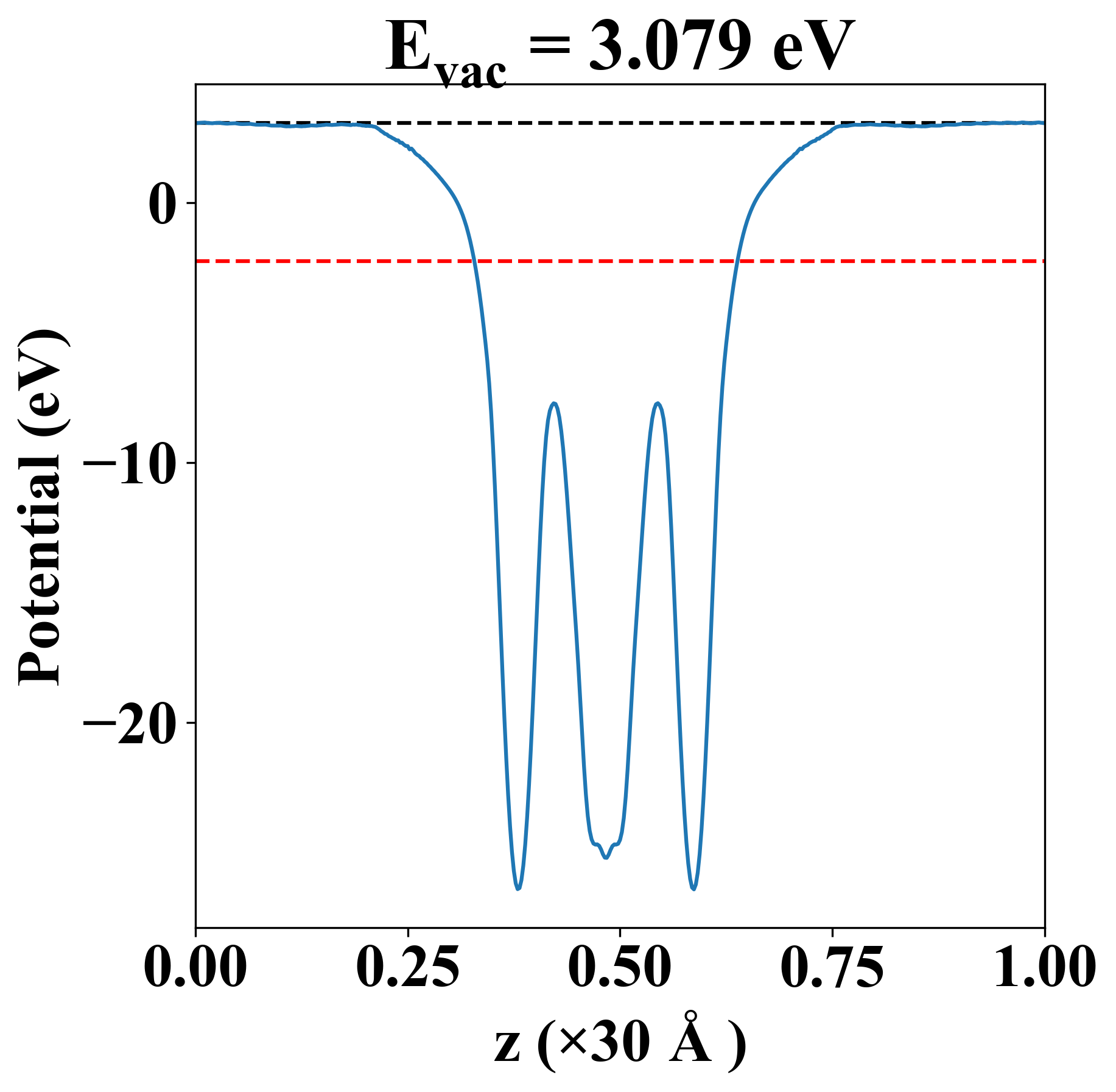
| E-fermi |
-2.239 eV |
| Vacuum level |
3.079 eV |
| VBM |
-2.240 eV |
| CBM |
-2.239 eV |
| Work function |
5.318 eV |
| Direct gap |
No |
| Property |
Value |
| Band gap |
0.00 eV |
| E-fermi |
-2.239 eV |
| Vacuum level |
3.079 eV |
| VBM |
-2.240 eV |
| CBM |
-2.239 eV |
| Work function |
5.318 eV |
| Cij (N/m) |
xx |
yy |
xy |
| xx |
-7.619 |
63.648 |
0.000 |
| yy |
63.648 |
59.658 |
0.000 |
| xy |
0.000 |
0.000 |
14.039 |
| Phonon mode at Γ point (THz) |
| -10.057 |
| -6.763 |
| -6.279 |
| -4.602 |
| -3.681 |
| -1.076 |
| -0.005 |
| -0.003 |
| 0.005 |
| 1.270 |
| 1.403 |
| 2.119 |
| 2.219 |
| 3.031 |
| 4.528 |
| 5.601 |
| 10.493 |
| 10.858 |
| Property |
Value |
| from where |
c2db-123 |