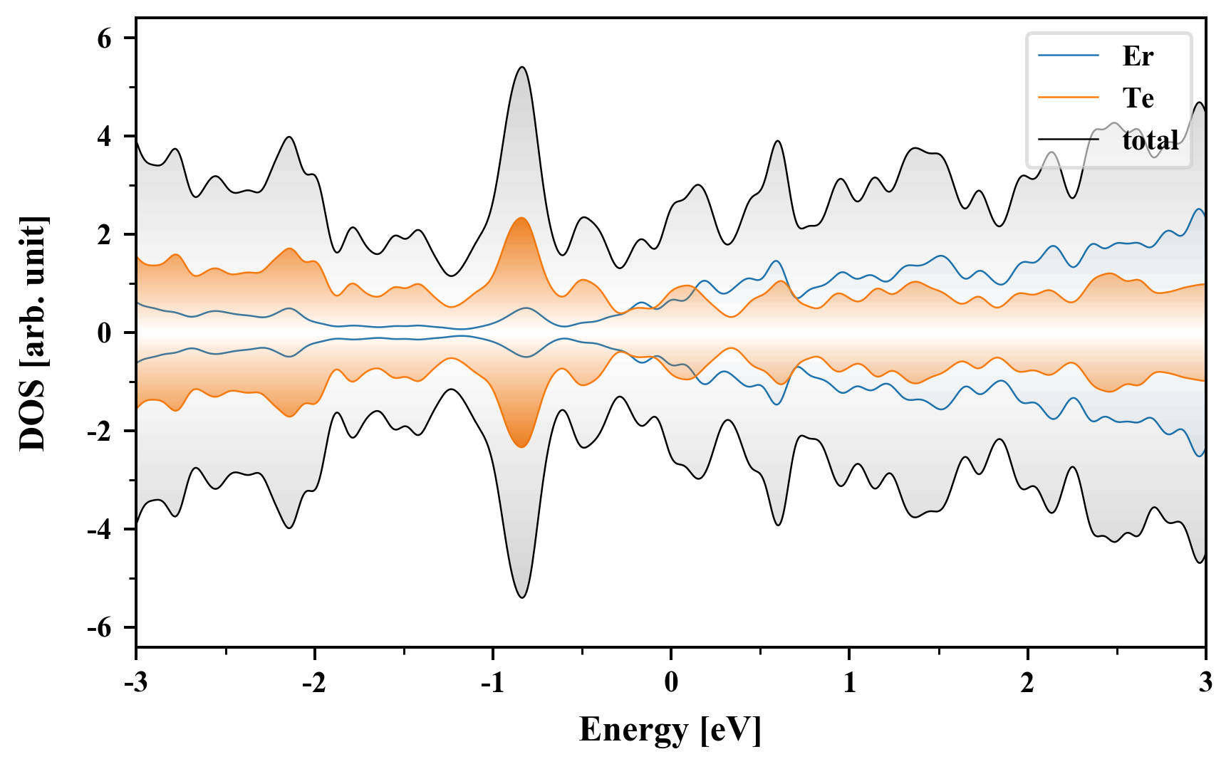
Er2Te6
MatHub2d-1464-Er2Te6
| Property |
Value |
| Space group |
(51, 'Pmma') |
| Crystal system |
rectangular |
| Magnetic |
|
| Band gap (PBE) (eV) |
0.00 |
| Free energy (eV) |
-32.220 |
| Free energy / atom (eV) |
-4.027 |
Lattice Parameters (basic)
| a, b, c (Å): | 4.574 | 4.026 | 30.000 |
| α, β, γ (°): | 90.000 | 90.000 | 90.000 |
Lattice Parameters (computed)
| a, b, c (Å): | 4.567 | 4.047 | 30.000 |
| α, β, γ (°): | 90.000 | 90.000 | 90.000 |
| Property |
Value |
| Band gap |
0.00 eV |
| E-fermi |
-0.224 eV |
| Vacuum level |
5.283 eV |
| VBM |
-0.224 eV |
| CBM |
-0.224 eV |
| Work function |
5.507 eV |
| Direct gap |
No |
| Property |
Value |
| Band gap |
0.00 eV |
| E-fermi |
-0.224 eV |
| Vacuum level |
5.283 eV |
| VBM |
-0.224 eV |
| CBM |
-0.224 eV |
| Work function |
5.507 eV |
| Cij (N/m) |
xx |
yy |
xy |
| xx |
72.771 |
67.351 |
0.000 |
| yy |
67.351 |
111.877 |
0.000 |
| xy |
0.000 |
0.000 |
54.656 |
| Phonon mode at Γ point (THz) |
| Property |
Value |
| from where |
JVASP-28071 |