Dy2I2S2
MatHub2d-1461-Dy2I2S2
| Property |
Value |
| Space group |
(59, 'Pmmn') |
| Crystal system |
rectangular |
| Magnetic |
No |
| Band gap (PBE) (eV) |
2.80 |
| Free energy (eV) |
-31.303 |
| Free energy / atom (eV) |
-5.217 |
Lattice Parameters (basic)
| a, b, c (Å): | 4.163 | 5.326 | 30.000 |
| α, β, γ (°): | 90.000 | 90.000 | 90.000 |
Lattice Parameters (computed)
| a, b, c (Å): | 4.195 | 5.351 | 30.000 |
| α, β, γ (°): | 90.000 | 90.000 | 90.000 |
| Property |
Value |
| Band gap |
2.80 eV |
| E-fermi |
-3.951 eV |
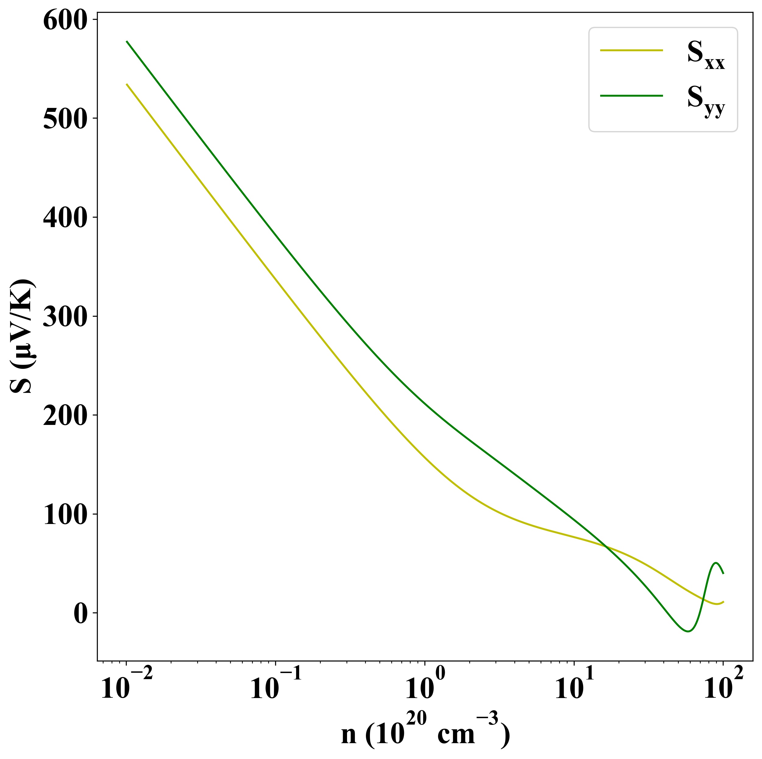
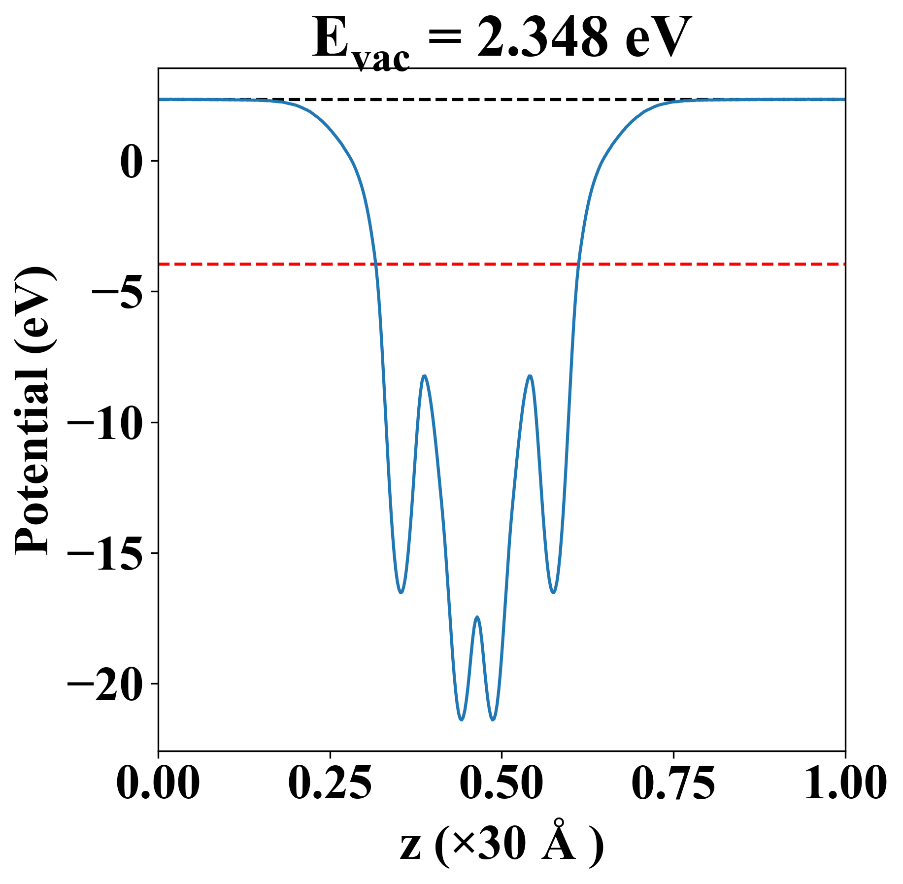
| Vacuum level |
2.348 eV |
| VBM |
-4.209 eV |
| CBM |
-1.406 eV |
| Work function |
6.299 eV |
| Direct gap |
Yes |
| Property |
Value |
| Band gap |
2.67 eV |
| E-fermi |
-3.730 eV |
| VBM |
-4.040 eV |
| CBM |
-1.373 eV |
| Free energy (eV) |
-32.102 |
| Free energy / atom (eV) |
-5.350 |
| Property |
Value |
| Band gap |
2.80 eV |
| E-fermi |
-3.951 eV |
| Vacuum level |
2.348 eV |
| VBM |
-4.209 eV |
| CBM |
-1.406 eV |
| Work function |
6.299 eV |
| Cij (N/m) |
xx |
yy |
xy |
| xx |
51.887 |
10.553 |
0.000 |
| yy |
10.553 |
70.419 |
0.000 |
| xy |
0.000 |
0.000 |
17.683 |
| Phonon mode at Γ point (THz) |
| Property |
Value |
| from where |
JVASP-6166 |