Cu2I2S2
MatHub2d-1459-Cu2I2S2
| Property |
Value |
| Space group |
(59, 'Pmmn') |
| Crystal system |
rectangular |
| Magnetic |
Yes |
| Band gap (PBE) (eV) |
0.00 |
| Free energy (eV) |
-15.519 |
| Free energy / atom (eV) |
-2.587 |
Lattice Parameters (basic)
| a, b, c (Å): | 3.584 | 4.638 | 30.000 |
| α, β, γ (°): | 90.000 | 90.000 | 90.000 |
Lattice Parameters (computed)
| a, b, c (Å): | 3.451 | 4.611 | 30.000 |
| α, β, γ (°): | 90.000 | 90.000 | 90.000 |
| Property |
Value |
| Band gap |
0.00 eV |
| E-fermi |
-2.685 eV |
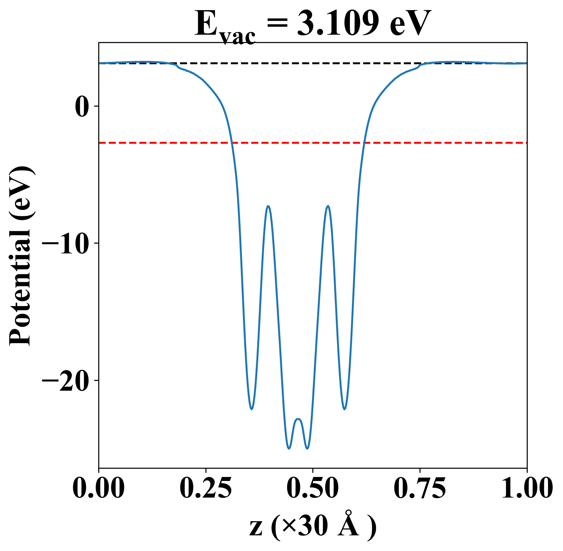
| Vacuum level |
3.109 eV |
| VBM |
-2.686 eV |
| CBM |
-2.685 eV |
| Work function |
5.794 eV |
| Direct gap |
No |
| Property |
Value |
| Band gap |
0.00 eV |
| E-fermi |
-2.685 eV |
| Vacuum level |
3.109 eV |
| VBM |
-2.686 eV |
| CBM |
-2.685 eV |
| Work function |
5.794 eV |
| Cij (N/m) |
xx |
yy |
xy |
| xx |
20.806 |
4.906 |
0.000 |
| yy |
4.906 |
50.210 |
0.000 |
| xy |
0.000 |
0.000 |
3.875 |
| Phonon mode at Γ point (THz) |
| -1.107 |
| -0.027 |
| -0.011 |
| -0.005 |
| 0.798 |
| 1.476 |
| 1.546 |
| 1.851 |
| 2.255 |
| 3.228 |
| 3.246 |
| 3.471 |
| 6.835 |
| 6.849 |
| 6.946 |
| 7.034 |
| 7.452 |
| 9.366 |
| Property |
Value |
| from where |
c2db-105 |