Cu2I2N2
MatHub2d-1457-Cu2I2N2
| Property |
Value |
| Space group |
(59, 'Pmmn') |
| Crystal system |
rectangular |
| Magnetic |
|
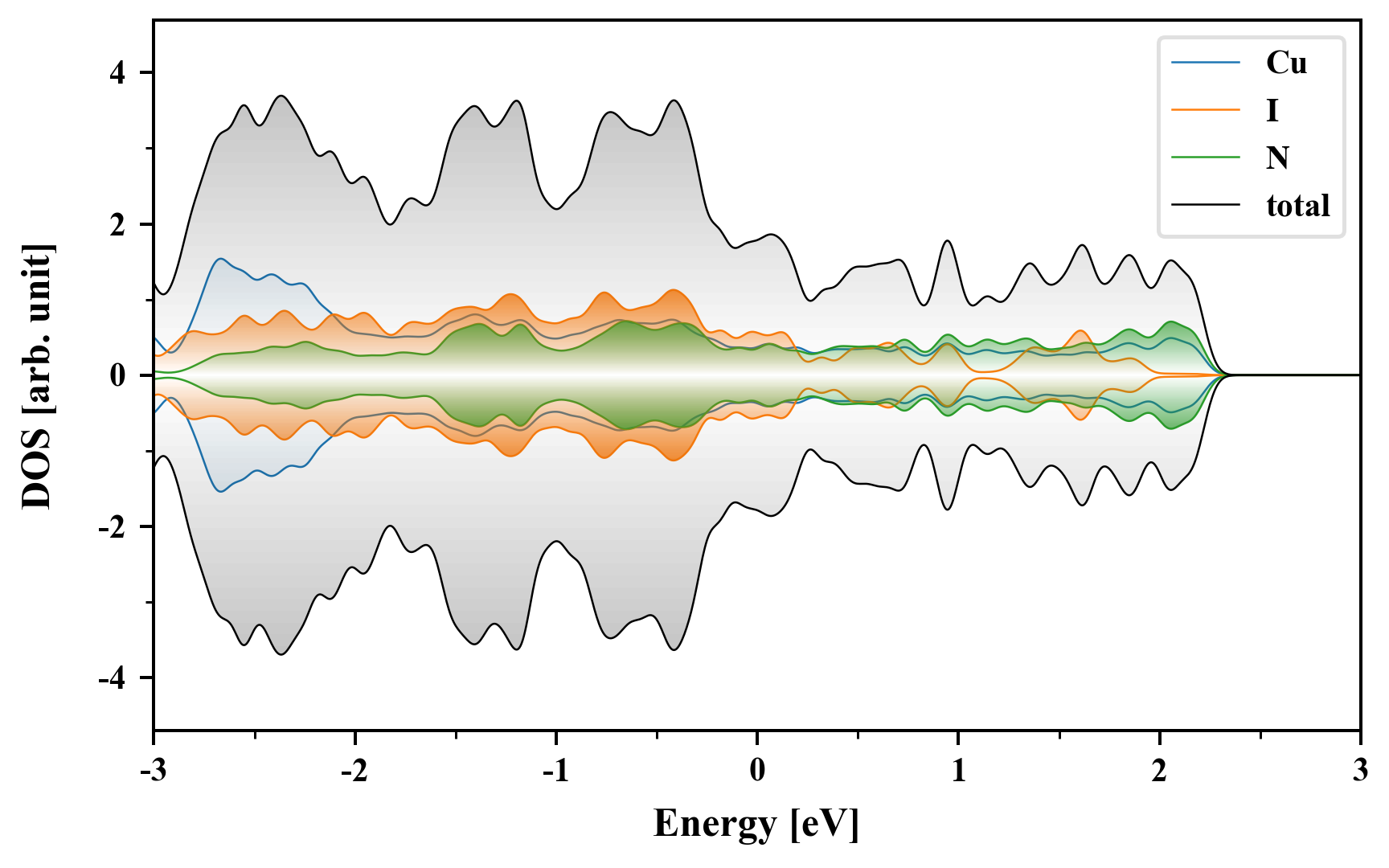
| Band gap (PBE) (eV) |
0.00 |
| Free energy (eV) |
-19.216 |
| Free energy / atom (eV) |
-3.203 |
Lattice Parameters (basic)
| a, b, c (Å): | 3.267 | 3.752 | 30.000 |
| α, β, γ (°): | 90.000 | 90.000 | 90.000 |
Lattice Parameters (computed)
| a, b, c (Å): | 3.242 | 3.759 | 30.000 |
| α, β, γ (°): | 90.000 | 90.000 | 90.000 |
| Property |
Value |
| Band gap |
0.00 eV |
| E-fermi |
-2.558 eV |
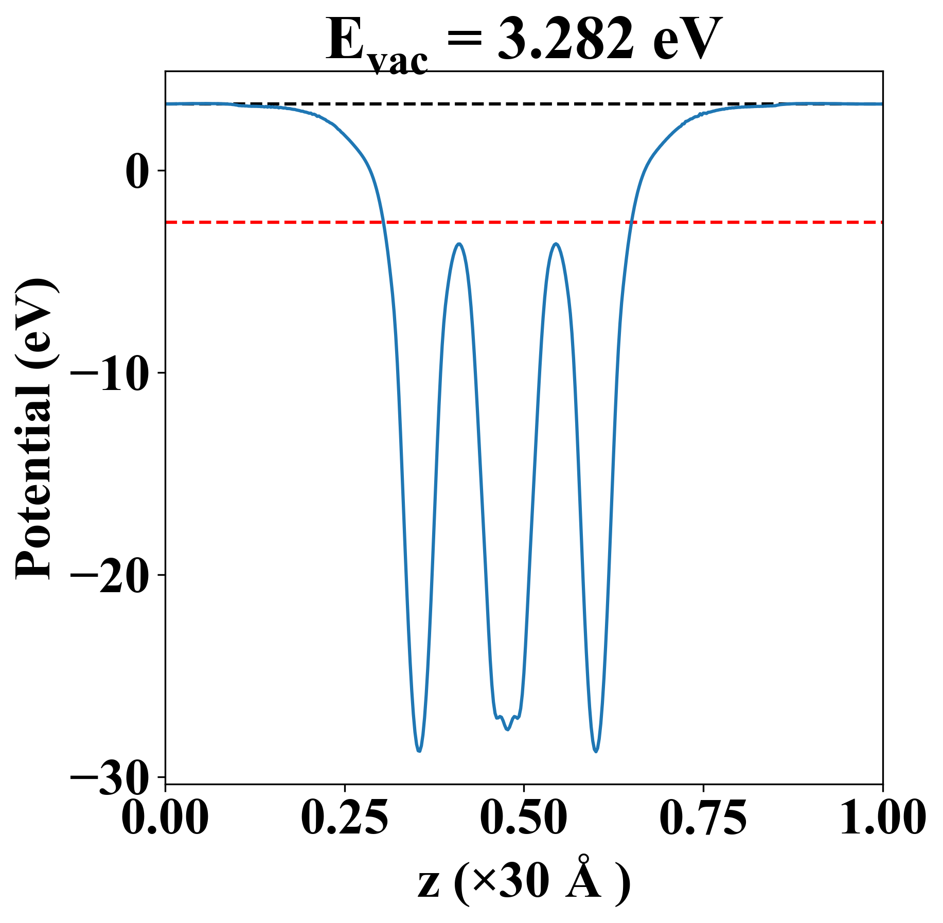
| Vacuum level |
3.282 eV |
| VBM |
-2.561 eV |
| CBM |
-2.557 eV |
| Work function |
5.840 eV |
| Direct gap |
No |
| Property |
Value |
| Band gap |
0.00 eV |
| E-fermi |
-2.558 eV |
| Vacuum level |
3.282 eV |
| VBM |
-2.561 eV |
| CBM |
-2.557 eV |
| Work function |
5.840 eV |
| Cij (N/m) |
xx |
yy |
xy |
| xx |
68.486 |
36.844 |
0.000 |
| yy |
36.844 |
157.346 |
0.000 |
| xy |
0.000 |
0.000 |
14.335 |
| Phonon mode at Γ point (THz) |
| -1.116 |
| -0.714 |
| -0.021 |
| -0.018 |
| 0.032 |
| 0.435 |
| 0.685 |
| 0.899 |
| 1.001 |
| 5.223 |
| 5.247 |
| 5.706 |
| 10.612 |
| 12.318 |
| 16.085 |
| 16.972 |
| 17.016 |
| 19.562 |
| Property |
Value |
| from where |
c2db-103 |