Cr2Se4
MatHub2d-1454-Cr2Se4
| Property |
Value |
| Space group |
(11, 'P2_1/m') |
| Crystal system |
rectangular |
| Magnetic |
Yes |
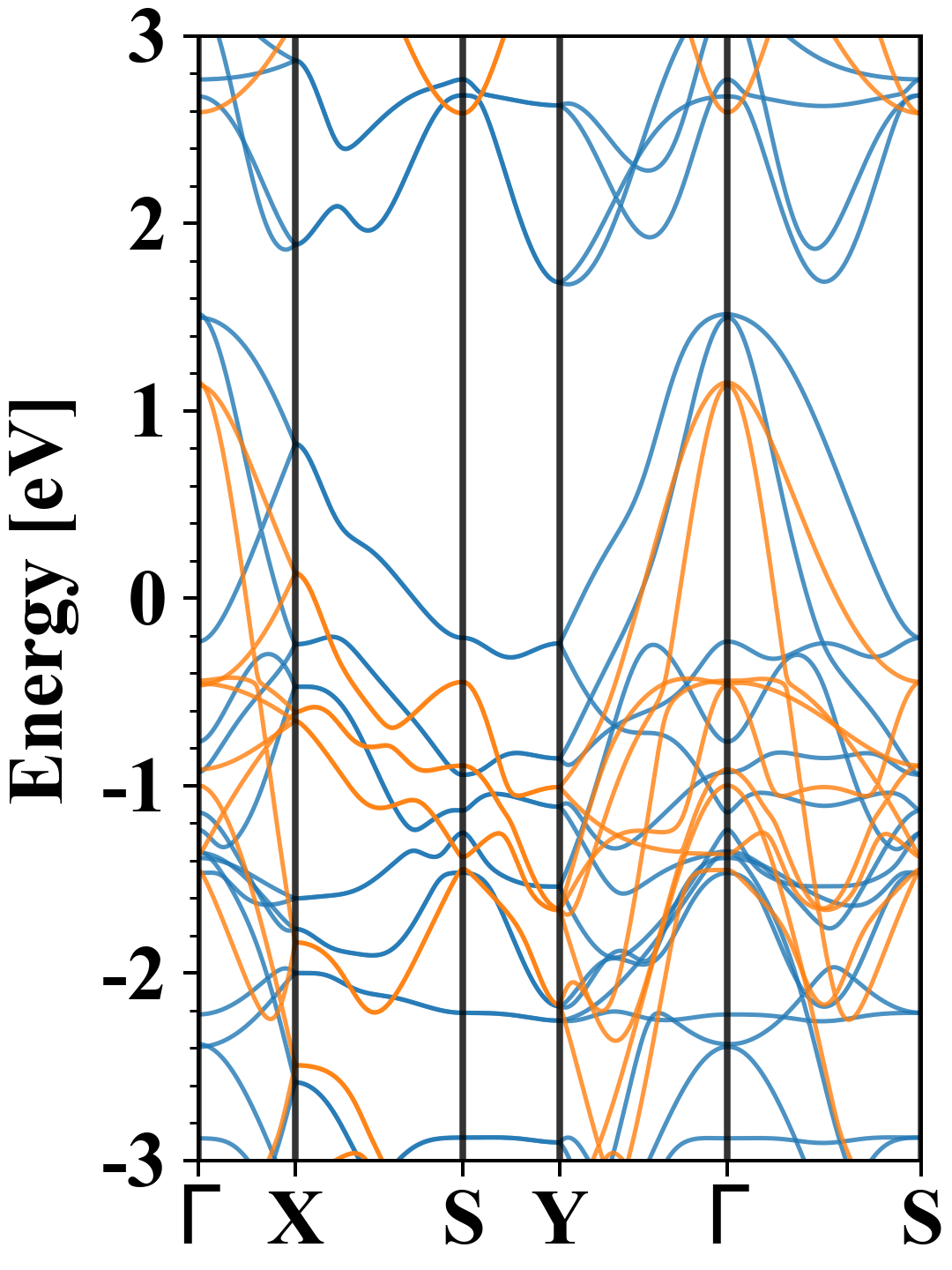
| Band gap (PBE) (eV) |
0.00 |
| Free energy (eV) |
-30.692 |
| Free energy / atom (eV) |
-5.115 |
Lattice Parameters (basic)
| a, b, c (Å): | 5.755 | 3.119 | 30.000 |
| α, β, γ (°): | 90.000 | 90.000 | 90.000 |
Lattice Parameters (computed)
| a, b, c (Å): | 6.002 | 3.471 | 30.000 |
| α, β, γ (°): | 90.000 | 90.000 | 90.000 |
| Property |
Value |
| Band gap |
0.00 eV |
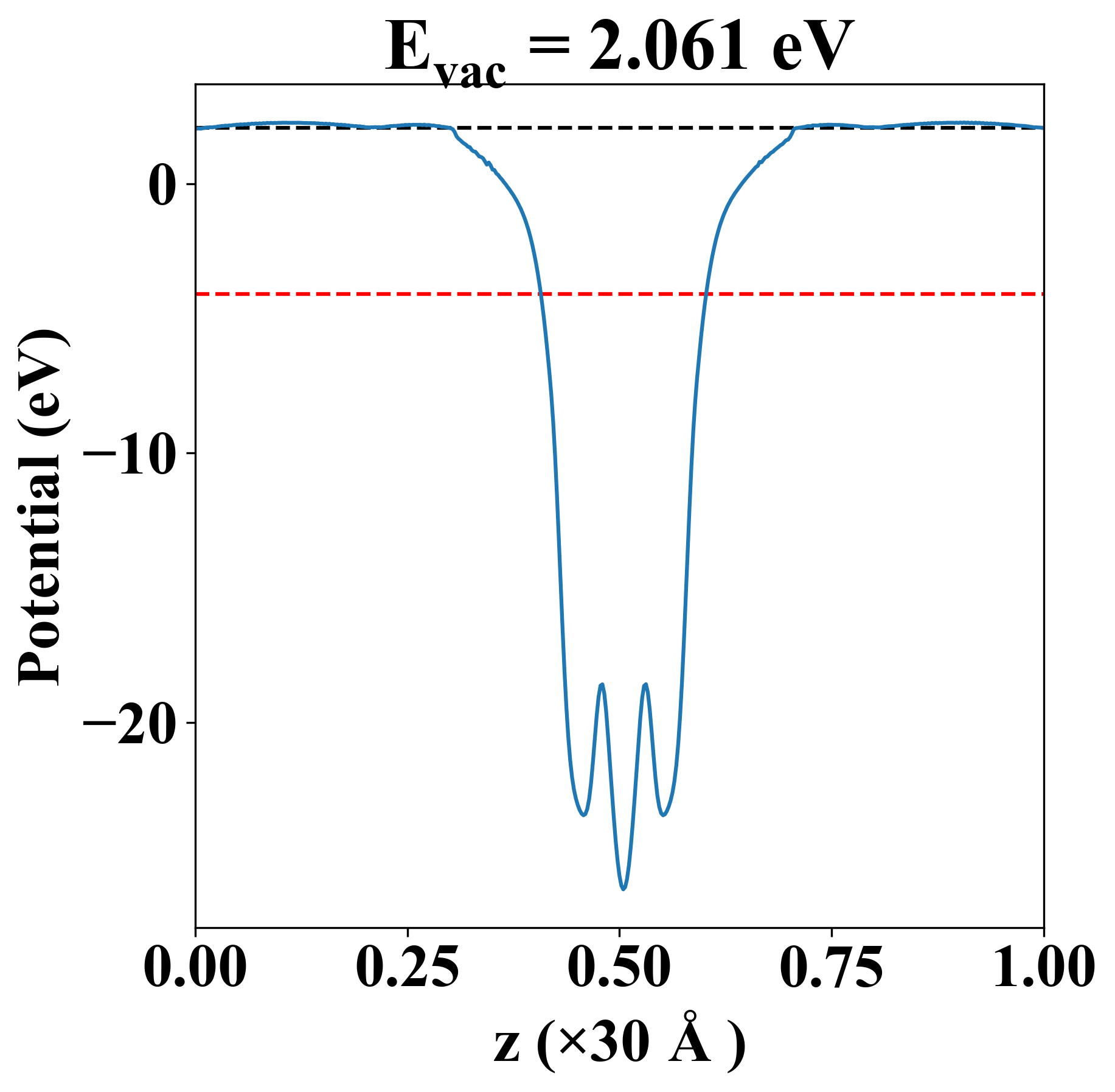
| E-fermi |
-4.103 eV |
| Vacuum level |
2.061 eV |
| VBM |
-4.103 eV |
| CBM |
-4.102 eV |
| Work function |
6.164 eV |
| Direct gap |
No |
| Property |
Value |
| Band gap |
0.00 eV |
| E-fermi |
-4.103 eV |
| Vacuum level |
2.061 eV |
| VBM |
-4.103 eV |
| CBM |
-4.102 eV |
| Work function |
6.164 eV |
| Cij (N/m) |
xx |
yy |
xy |
| xx |
50.131 |
8.998 |
-0.000 |
| yy |
8.998 |
49.946 |
-0.000 |
| xy |
-0.000 |
-0.000 |
20.501 |
| Phonon mode at Γ point (THz) |
| -5.458 |
| -0.024 |
| -0.004 |
| -0.002 |
| 1.336 |
| 2.032 |
| 2.063 |
| 2.902 |
| 3.068 |
| 3.478 |
| 3.484 |
| 3.629 |
| 4.490 |
| 4.562 |
| 4.901 |
| 5.166 |
| 6.345 |
| 8.210 |
| Property |
Value |
| from where |
c2db-1845 |