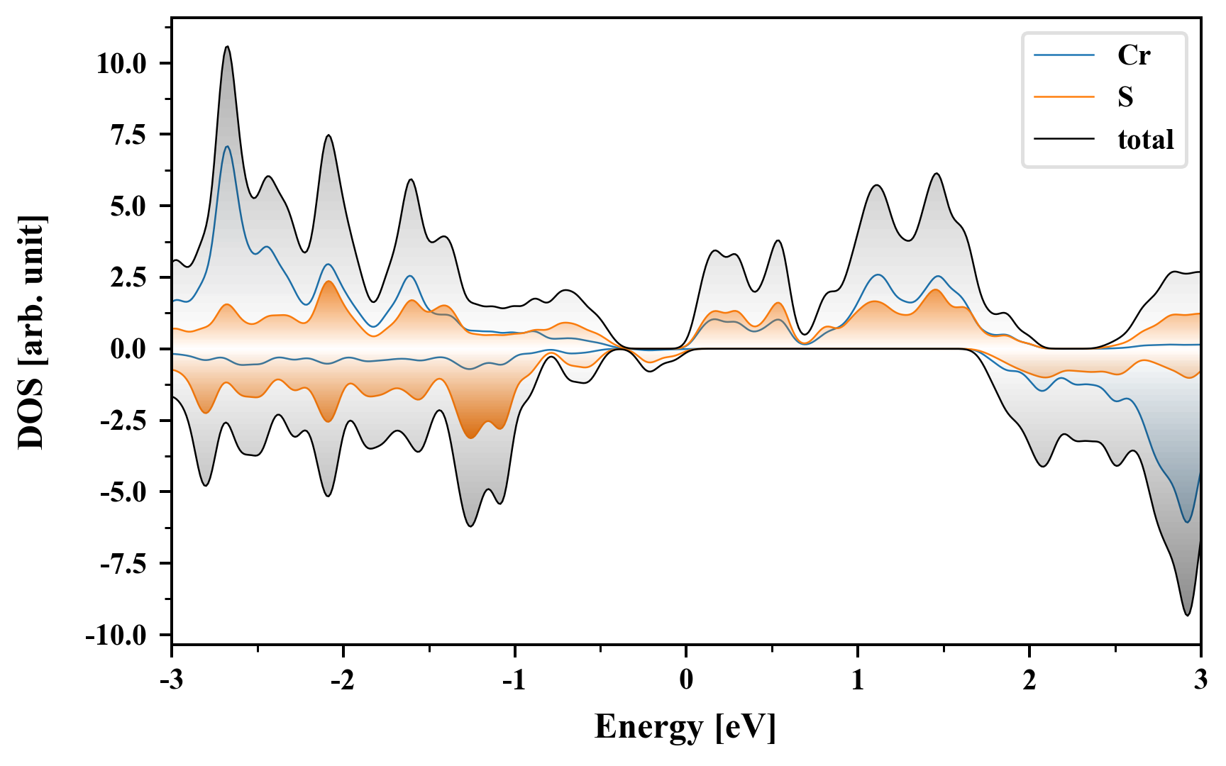
Cr2S6
MatHub2d-1453-Cr2S6
| Property |
Value |
| Space group |
(11, 'P2_1/m') |
| Crystal system |
rectangular |
| Magnetic |
Yes |
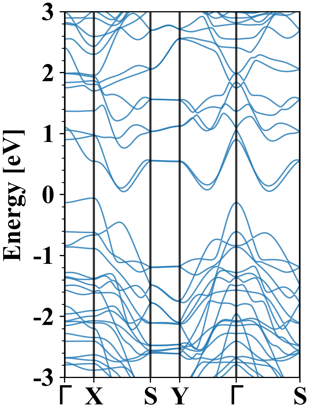
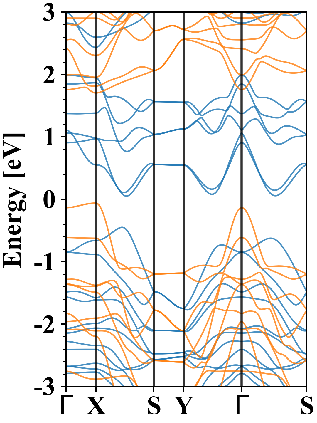
| Band gap (PBE) (eV) |
0.11 |
| Free energy (eV) |
-41.399 |
| Free energy / atom (eV) |
-5.175 |
Lattice Parameters (basic)
| a, b, c (Å): | 6.364 | 3.310 | 30.000 |
| α, β, γ (°): | 90.000 | 90.000 | 90.000 |
Lattice Parameters (computed)
| a, b, c (Å): | 6.548 | 3.388 | 30.000 |
| α, β, γ (°): | 90.000 | 90.000 | 90.000 |
| Property |
Value |
| Band gap |
0.11 eV |
| E-fermi |
-2.559 eV |
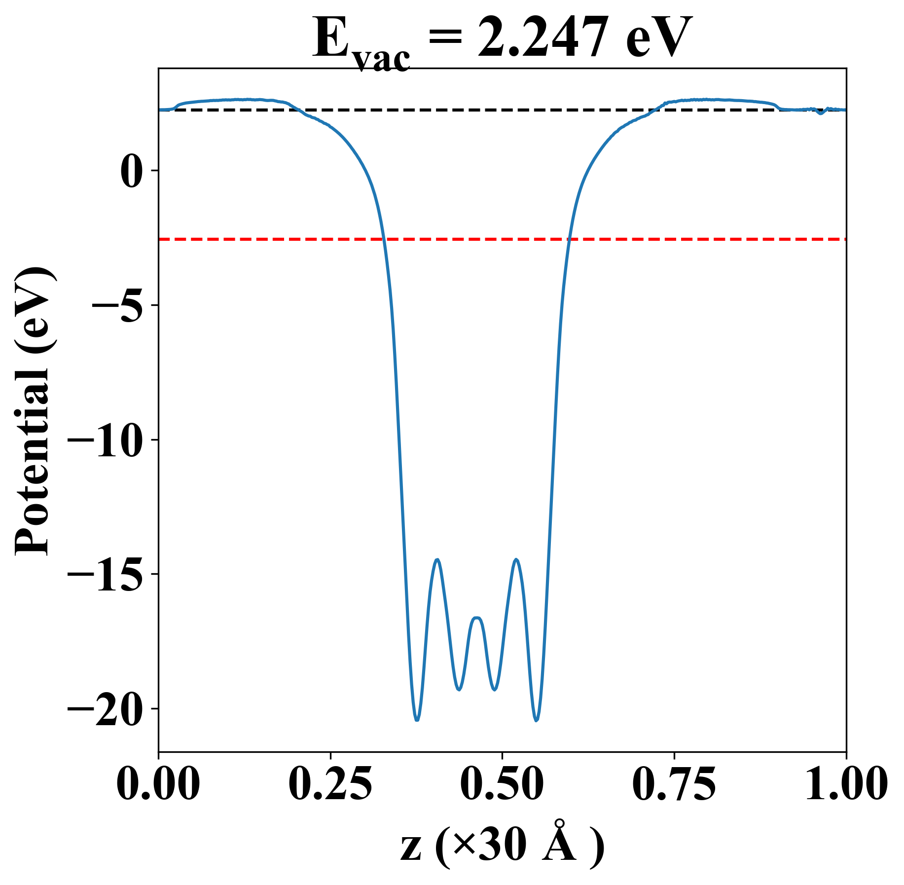
| Vacuum level |
2.247 eV |
| VBM |
-2.621 eV |
| CBM |
-2.509 eV |
| Work function |
4.806 eV |
| Direct gap |
No |
| Property |
Value |
| Band gap |
0.11 eV |
| E-fermi |
-2.568 eV |
| VBM |
-2.627 eV |
| CBM |
-2.521 eV |
| Free energy (eV) |
-41.430 |
| Free energy / atom (eV) |
-5.179 |
| Property |
Value |
| Band gap |
0.11 eV |
| E-fermi |
-2.559 eV |
| Vacuum level |
2.247 eV |
| VBM |
-2.621 eV |
| CBM |
-2.509 eV |
| Work function |
4.806 eV |
| Cij (N/m) |
xx |
yy |
xy |
| xx |
-0.297 |
-0.746 |
0.000 |
| yy |
-0.746 |
46.908 |
0.000 |
| xy |
0.000 |
0.000 |
-0.940 |
| Phonon mode at Γ point (THz) |
| -0.025 |
| -0.005 |
| -0.005 |
| 1.349 |
| 1.424 |
| 1.975 |
| 3.167 |
| 3.212 |
| 3.486 |
| 4.432 |
| 5.183 |
| 5.242 |
| 5.833 |
| 6.174 |
| 6.423 |
| 7.175 |
| 7.713 |
| 7.857 |
| 8.097 |
| 8.524 |
| 8.760 |
| 8.819 |
| 16.440 |
| 16.487 |
| Property |
Value |
| from where |
c2db-1730 |