Cr2I2Se2
MatHub2d-1449-Cr2I2Se2
| Property |
Value |
| Space group |
(59, 'Pmmn') |
| Crystal system |
rectangular |
| Magnetic |
Yes |
| Band gap (PBE) (eV) |
0.05 |
| Free energy (eV) |
-27.849 |
| Free energy / atom (eV) |
-4.641 |
Lattice Parameters (basic)
| a, b, c (Å): | 3.796 | 5.005 | 30.000 |
| α, β, γ (°): | 90.000 | 90.000 | 90.000 |
Lattice Parameters (computed)
| a, b, c (Å): | 3.859 | 5.113 | 30.000 |
| α, β, γ (°): | 90.000 | 90.000 | 90.000 |
| Property |
Value |
| Band gap |
0.05 eV |
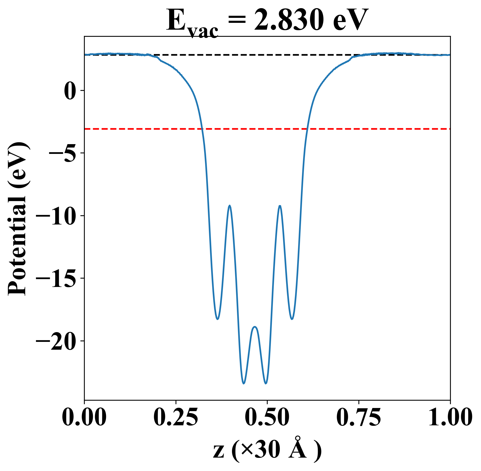
| E-fermi |
-3.091 eV |
| Vacuum level |
2.830 eV |
| VBM |
-3.111 eV |
| CBM |
-3.059 eV |
| Work function |
5.921 eV |
| Direct gap |
No |
| Property |
Value |
| Band gap |
0.05 eV |
| E-fermi |
-3.091 eV |
| Vacuum level |
2.830 eV |
| VBM |
-3.111 eV |
| CBM |
-3.059 eV |
| Work function |
5.921 eV |
| Property |
Value |
| from where |
c2db-93 |