Cr2I2S2
MatHub2d-1448-Cr2I2S2
| Property |
Value |
| Space group |
(59, 'Pmmn') |
| Crystal system |
rectangular |
| Magnetic |
Yes |
| Band gap (PBE) (eV) |
0.45 |
| Free energy (eV) |
-29.572 |
| Free energy / atom (eV) |
-4.929 |
Lattice Parameters (basic)
| a, b, c (Å): | 3.704 | 4.745 | 30.000 |
| α, β, γ (°): | 90.000 | 90.000 | 90.000 |
Lattice Parameters (computed)
| a, b, c (Å): | 3.762 | 4.824 | 30.000 |
| α, β, γ (°): | 90.000 | 90.000 | 90.000 |
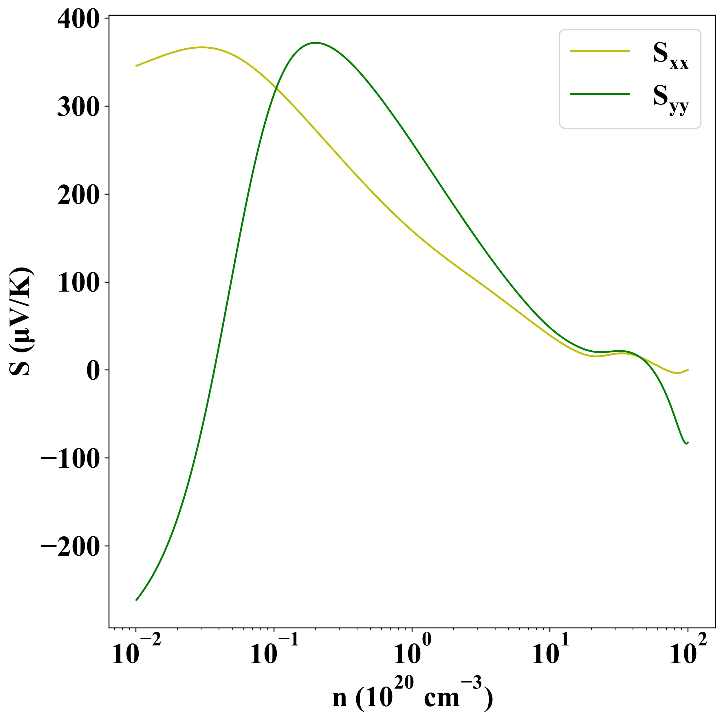
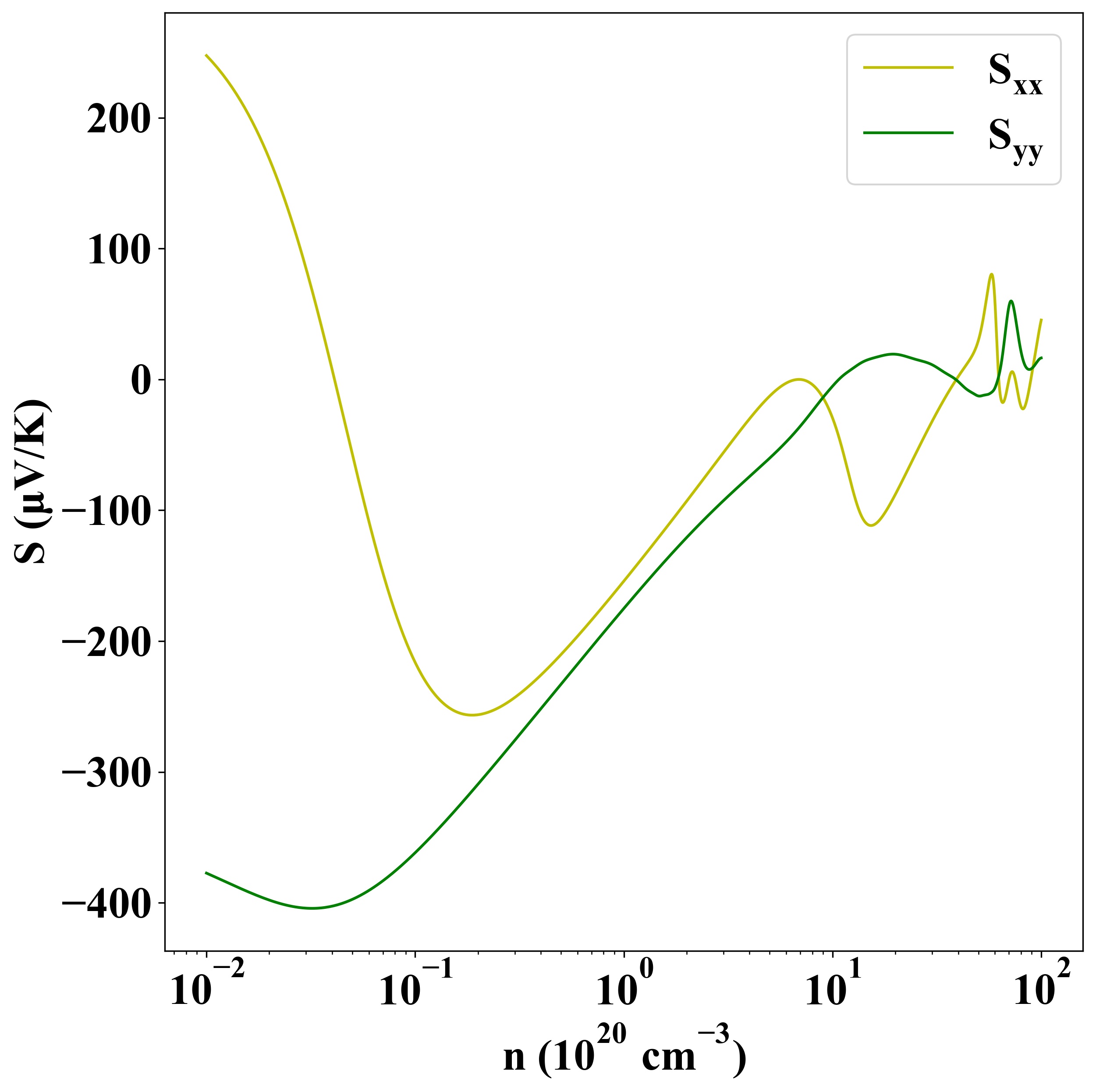
| Property |
Value |
| Band gap |
0.45 eV |
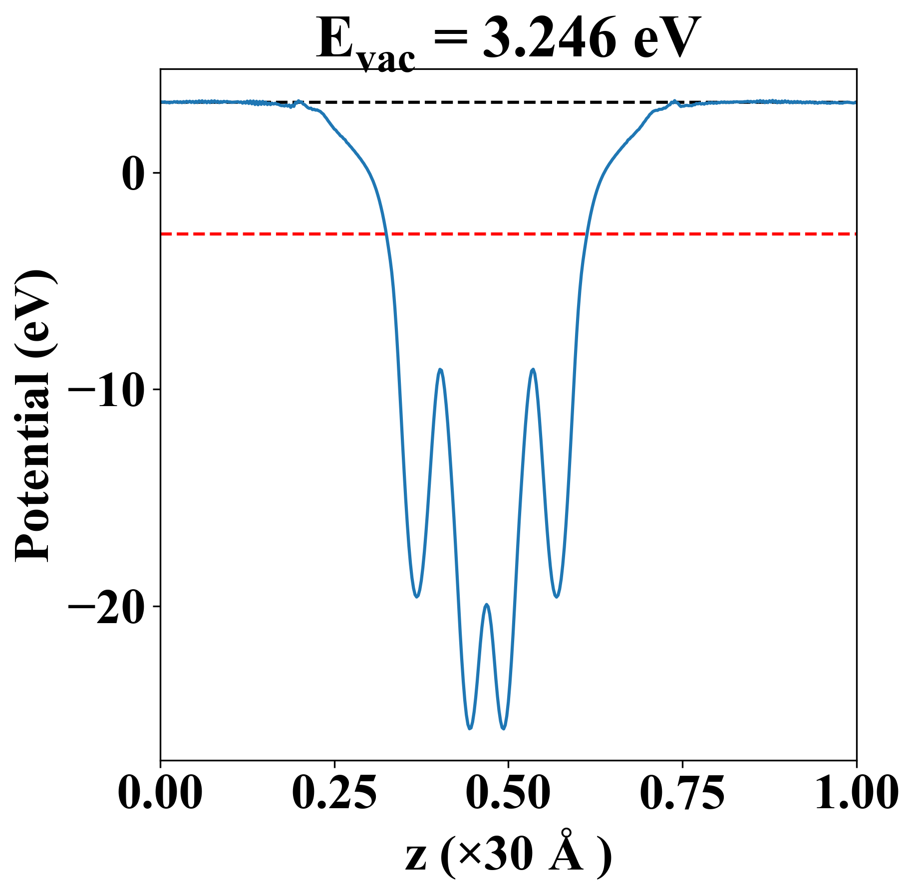
| E-fermi |
-2.820 eV |
| Vacuum level |
3.246 eV |
| VBM |
-3.059 eV |
| CBM |
-2.609 eV |
| Work function |
6.066 eV |
| Direct gap |
No |
| Property |
Value |
| Band gap |
0.34 eV |
| E-fermi |
-2.753 eV |
| VBM |
-2.922 eV |
| CBM |
-2.579 eV |
| Free energy (eV) |
-29.870 |
| Free energy / atom (eV) |
-4.978 |
| Property |
Value |
| Band gap |
0.45 eV |
| E-fermi |
-2.820 eV |
| Vacuum level |
3.246 eV |
| VBM |
-3.059 eV |
| CBM |
-2.609 eV |
| Work function |
6.066 eV |
| Property |
Value |
| from where |
c2db-90 |