Cr2I2O2
MatHub2d-1447-Cr2I2O2
| Property |
Value |
| Space group |
(59, 'Pmmn') |
| Crystal system |
rectangular |
| Magnetic |
Yes |
| Band gap (PBE) (eV) |
0.51 |
| Free energy (eV) |
-34.914 |
| Free energy / atom (eV) |
-5.819 |
Lattice Parameters (basic)
| a, b, c (Å): | 3.475 | 3.918 | 30.000 |
| α, β, γ (°): | 90.000 | 90.000 | 90.000 |
Lattice Parameters (computed)
| a, b, c (Å): | 3.510 | 3.963 | 30.000 |
| α, β, γ (°): | 90.000 | 90.000 | 90.000 |
| Property |
Value |
| Band gap |
0.51 eV |
| E-fermi |
-2.032 eV |
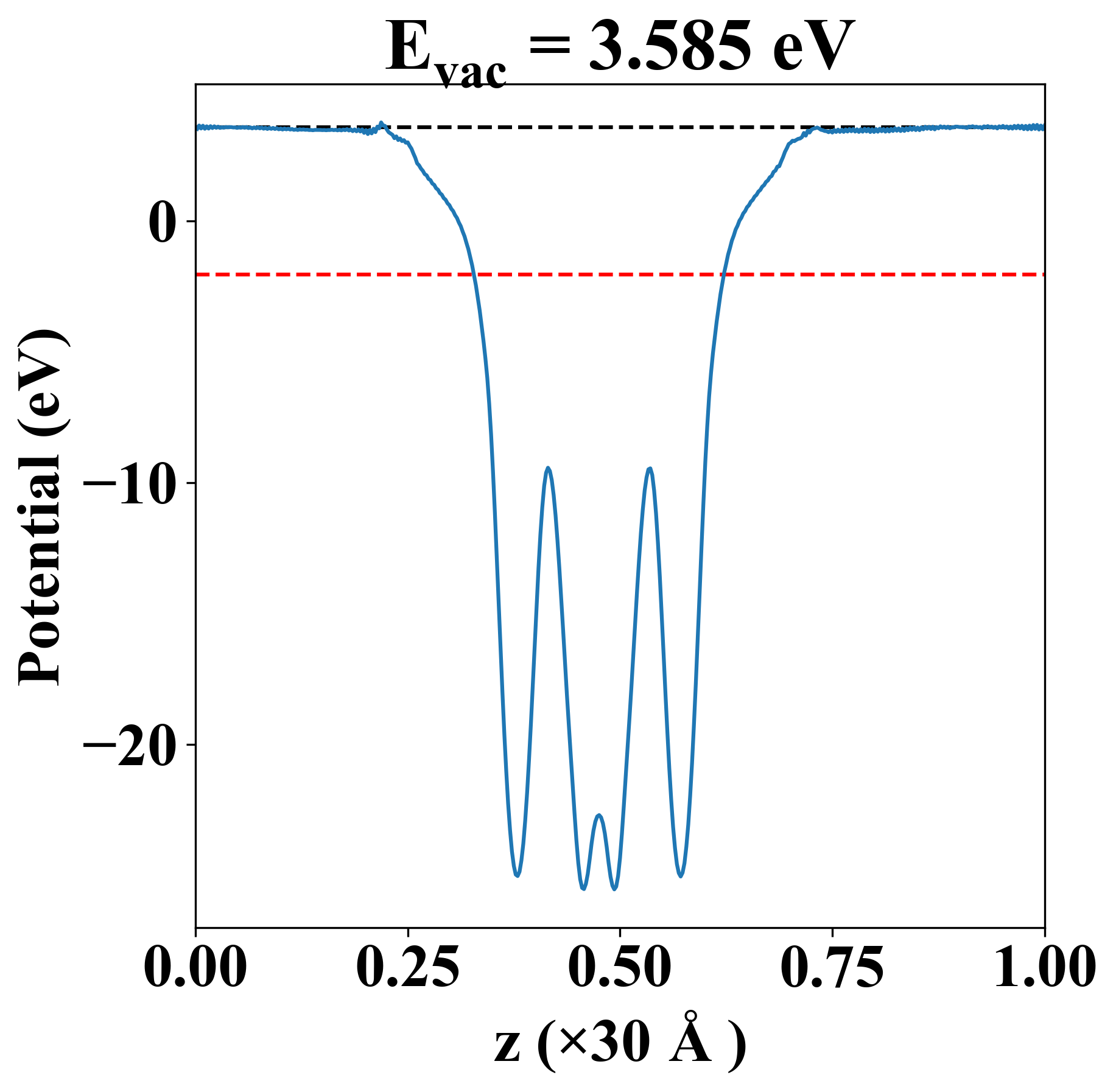
| Vacuum level |
3.585 eV |
| VBM |
-2.296 eV |
| CBM |
-1.785 eV |
| Work function |
5.617 eV |
| Direct gap |
No |
| Property |
Value |
| Band gap |
0.53 eV |
| E-fermi |
-2.020 eV |
| VBM |
-2.282 eV |
| CBM |
-1.754 eV |
| Free energy (eV) |
-35.212 |
| Free energy / atom (eV) |
-5.869 |
| Property |
Value |
| Band gap |
0.51 eV |
| E-fermi |
-2.032 eV |
| Vacuum level |
3.585 eV |
| VBM |
-2.296 eV |
| CBM |
-1.785 eV |
| Work function |
5.617 eV |
| Property |
Value |
| from where |
c2db-89 |