Cr2I2N2
MatHub2d-1446-Cr2I2N2
| Property |
Value |
| Space group |
(59, 'Pmmn') |
| Crystal system |
rectangular |
| Magnetic |
Yes |
| Band gap (PBE) (eV) |
0.00 |
| Free energy (eV) |
-34.596 |
| Free energy / atom (eV) |
-5.766 |
Lattice Parameters (basic)
| a, b, c (Å): | 3.139 | 3.912 | 30.000 |
| α, β, γ (°): | 90.000 | 90.000 | 90.000 |
Lattice Parameters (computed)
| a, b, c (Å): | 3.232 | 4.052 | 30.000 |
| α, β, γ (°): | 90.000 | 90.000 | 90.000 |
| Property |
Value |
| Band gap |
0.00 eV |
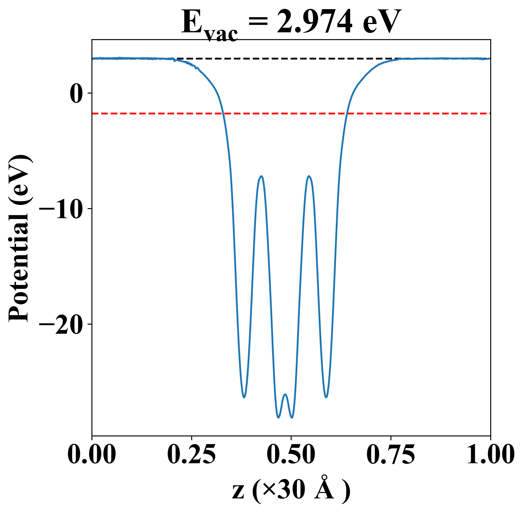
| E-fermi |
-1.781 eV |
| Vacuum level |
2.974 eV |
| VBM |
-1.782 eV |
| CBM |
-1.779 eV |
| Work function |
4.755 eV |
| Direct gap |
No |
| Property |
Value |
| Band gap |
0.00 eV |
| E-fermi |
-1.781 eV |
| Vacuum level |
2.974 eV |
| VBM |
-1.782 eV |
| CBM |
-1.779 eV |
| Work function |
4.755 eV |
| Property |
Value |
| from where |
c2db-86 |