Co2Te6
MatHub2d-1445-Co2Te6
| Property |
Value |
| Space group |
(11, 'P2_1/m') |
| Crystal system |
rectangular |
| Magnetic |
Yes |
| Band gap (PBE) (eV) |
0.00 |
| Free energy (eV) |
-25.596 |
| Free energy / atom (eV) |
-3.199 |
Lattice Parameters (basic)
| a, b, c (Å): | 6.120 | 3.591 | 30.000 |
| α, β, γ (°): | 90.000 | 90.000 | 90.000 |
Lattice Parameters (computed)
| a, b, c (Å): | 5.995 | 3.664 | 30.000 |
| α, β, γ (°): | 90.000 | 90.000 | 90.000 |
| Property |
Value |
| Band gap |
0.00 eV |
| E-fermi |
-0.919 eV |
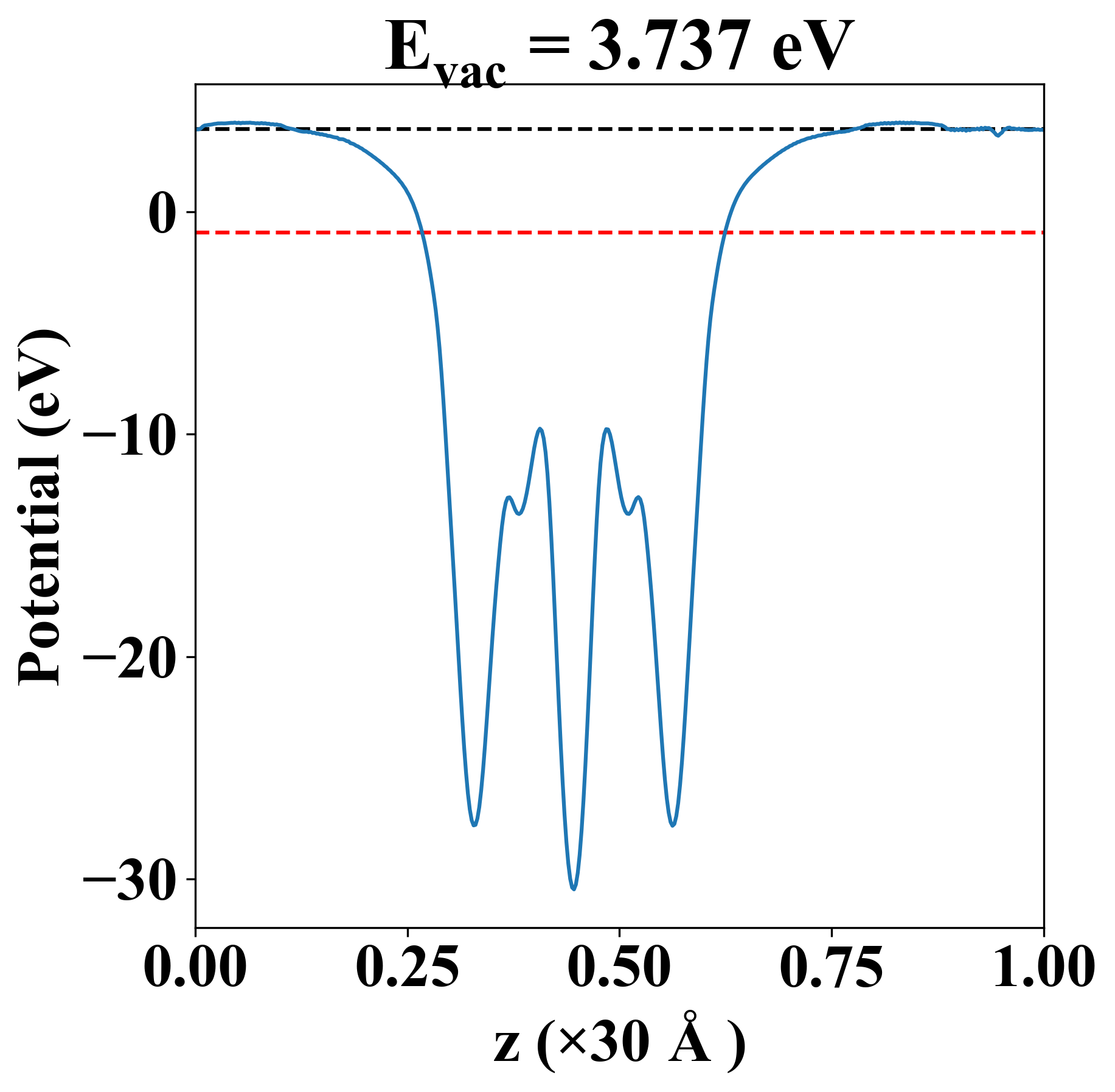
| Vacuum level |
3.737 eV |
| VBM |
-0.919 eV |
| CBM |
-0.918 eV |
| Work function |
4.656 eV |
| Direct gap |
No |
| Property |
Value |
| Band gap |
0.00 eV |
| E-fermi |
-0.919 eV |
| Vacuum level |
3.737 eV |
| VBM |
-0.919 eV |
| CBM |
-0.918 eV |
| Work function |
4.656 eV |
| Cij (N/m) |
xx |
yy |
xy |
| xx |
34.186 |
4.242 |
0.000 |
| yy |
4.242 |
30.093 |
-0.000 |
| xy |
0.000 |
-0.000 |
-2.313 |
| Phonon mode at Γ point (THz) |
| -1.555 |
| -1.259 |
| -0.039 |
| -0.003 |
| -0.002 |
| 0.119 |
| 0.333 |
| 0.748 |
| 0.934 |
| 0.989 |
| 1.033 |
| 1.321 |
| 1.547 |
| 1.827 |
| 2.014 |
| 2.021 |
| 2.266 |
| 2.328 |
| 3.097 |
| 3.153 |
| 3.342 |
| 3.596 |
| 4.412 |
| 4.517 |
| Property |
Value |
| from where |
c2db-1727 |