Co2Te4
MatHub2d-1444-Co2Te4
| Property |
Value |
| Space group |
(11, 'P2_1/m') |
| Crystal system |
rectangular |
| Magnetic |
Yes |
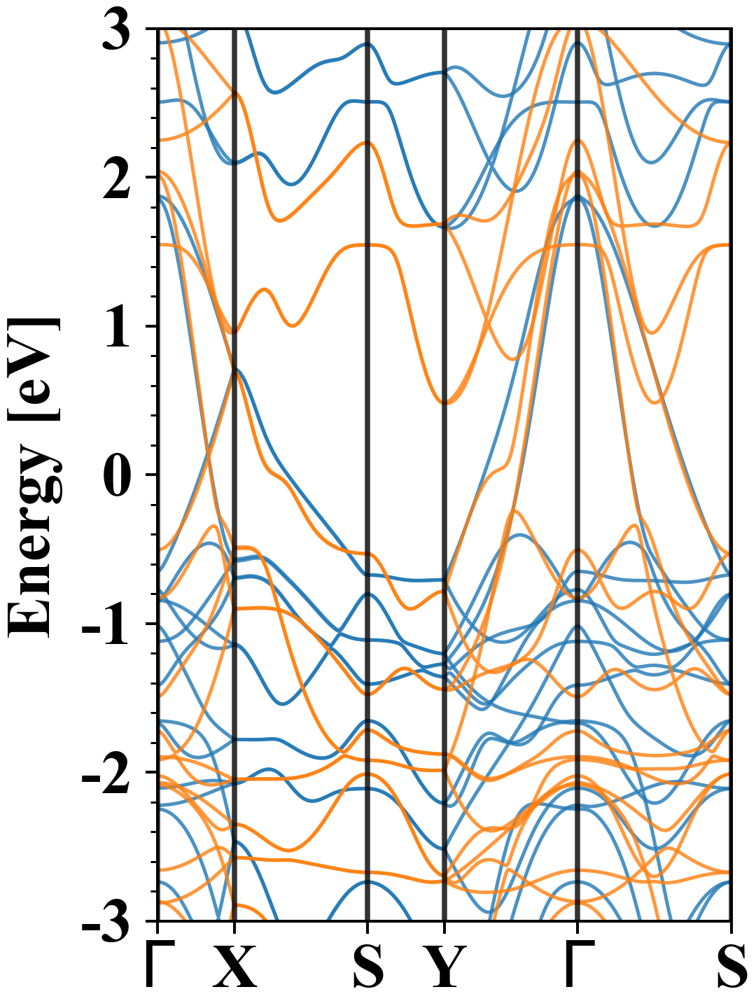
| Band gap (PBE) (eV) |
0.00 |
| Free energy (eV) |
-19.392 |
| Free energy / atom (eV) |
-3.232 |
Lattice Parameters (basic)
| a, b, c (Å): | 6.256 | 3.636 | 30.000 |
| α, β, γ (°): | 90.000 | 90.000 | 90.000 |
Lattice Parameters (computed)
| a, b, c (Å): | 6.194 | 3.570 | 30.000 |
| α, β, γ (°): | 90.000 | 90.000 | 90.000 |
| Property |
Value |
| Band gap |
0.00 eV |
| E-fermi |
-2.560 eV |
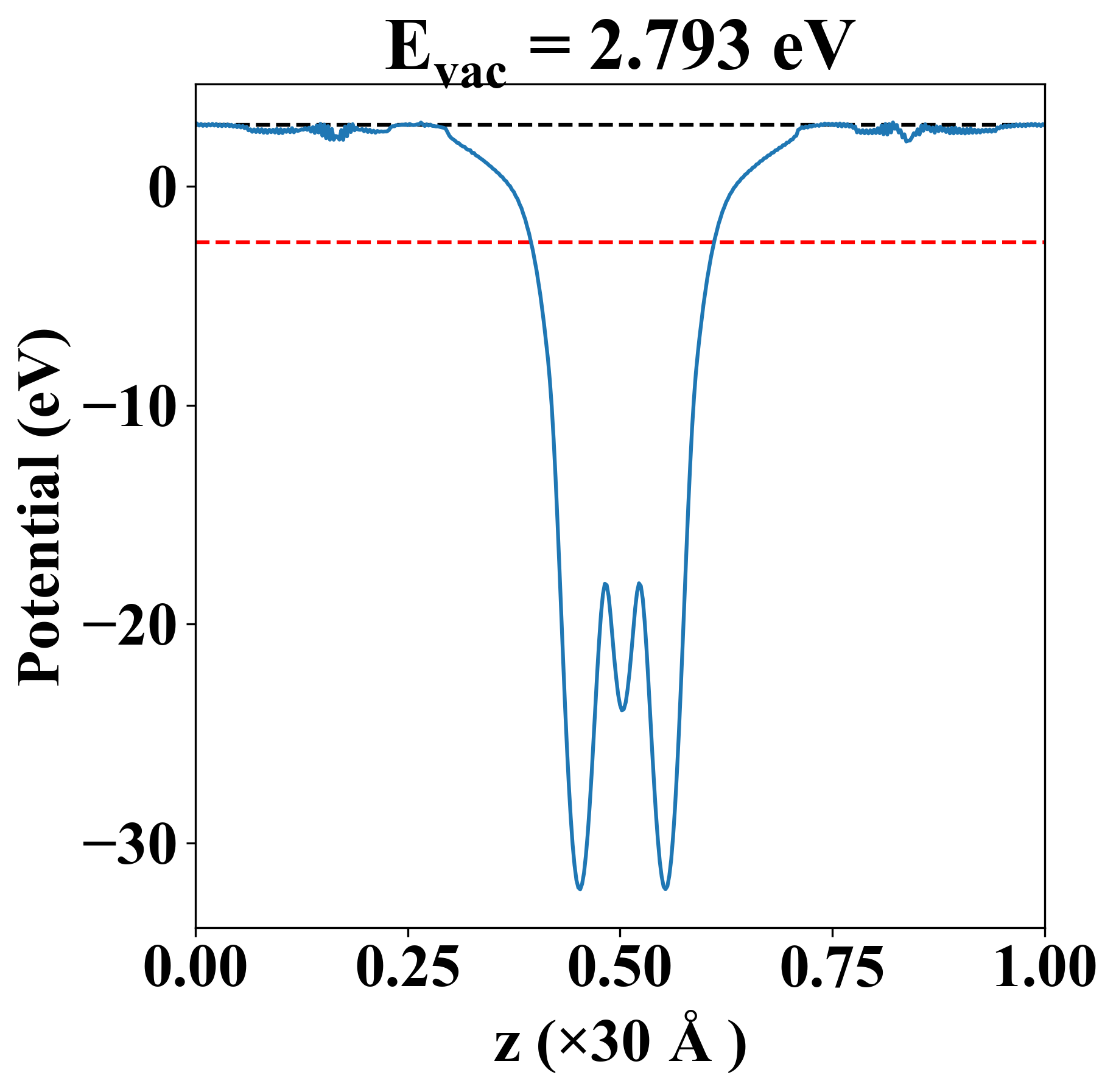
| Vacuum level |
2.793 eV |
| VBM |
-2.561 eV |
| CBM |
-2.560 eV |
| Work function |
5.353 eV |
| Direct gap |
No |
| Property |
Value |
| Band gap |
0.00 eV |
| E-fermi |
-2.560 eV |
| Vacuum level |
2.793 eV |
| VBM |
-2.561 eV |
| CBM |
-2.560 eV |
| Work function |
5.353 eV |
| Cij (N/m) |
xx |
yy |
xy |
| xx |
52.390 |
17.490 |
0.000 |
| yy |
17.490 |
53.273 |
-0.000 |
| xy |
0.000 |
-0.000 |
17.970 |
| Phonon mode at Γ point (THz) |
| -1.386 |
| -0.012 |
| -0.010 |
| -0.005 |
| 1.750 |
| 2.433 |
| 2.959 |
| 2.960 |
| 3.020 |
| 3.502 |
| 3.757 |
| 3.885 |
| 5.135 |
| 5.452 |
| 5.538 |
| 5.539 |
| 6.030 |
| 6.150 |
| Property |
Value |
| from where |
c2db-1836 |