Co2Se6
MatHub2d-1443-Co2Se6
| Property |
Value |
| Space group |
(4, 'P2_1') |
| Crystal system |
rectangular |
| Magnetic |
Yes |
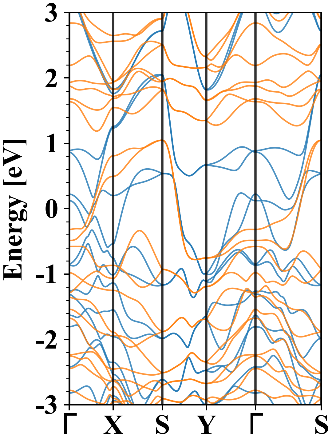
| Band gap (PBE) (eV) |
0.00 |
| Free energy (eV) |
-28.920 |
| Free energy / atom (eV) |
-3.615 |
Lattice Parameters (basic)
| a, b, c (Å): | 4.898 | 3.571 | 30.000 |
| α, β, γ (°): | 90.000 | 90.000 | 90.000 |
Lattice Parameters (computed)
| a, b, c (Å): | 4.550 | 4.093 | 30.000 |
| α, β, γ (°): | 90.000 | 90.000 | 90.000 |
| Property |
Value |
| Band gap |
0.00 eV |
| E-fermi |
-2.286 eV |
| Vacuum level |
2.845 eV |
| VBM |
-2.286 eV |
| CBM |
-2.284 eV |
| Work function |
5.131 eV |
| Direct gap |
No |
| Property |
Value |
| Band gap |
0.00 eV |
| E-fermi |
-2.286 eV |
| Vacuum level |
2.845 eV |
| VBM |
-2.286 eV |
| CBM |
-2.284 eV |
| Work function |
5.131 eV |
| Cij (N/m) |
xx |
yy |
xy |
| xx |
49.215 |
10.311 |
0.000 |
| yy |
10.311 |
18.361 |
0.000 |
| xy |
0.000 |
0.000 |
21.922 |
| Phonon mode at Γ point (THz) |
| Property |
Value |
| from where |
c2db-1726 |