Co2Se4
MatHub2d-1442-Co2Se4
| Property |
Value |
| Space group |
(11, 'P2_1/m') |
| Crystal system |
rectangular |
| Magnetic |
No |
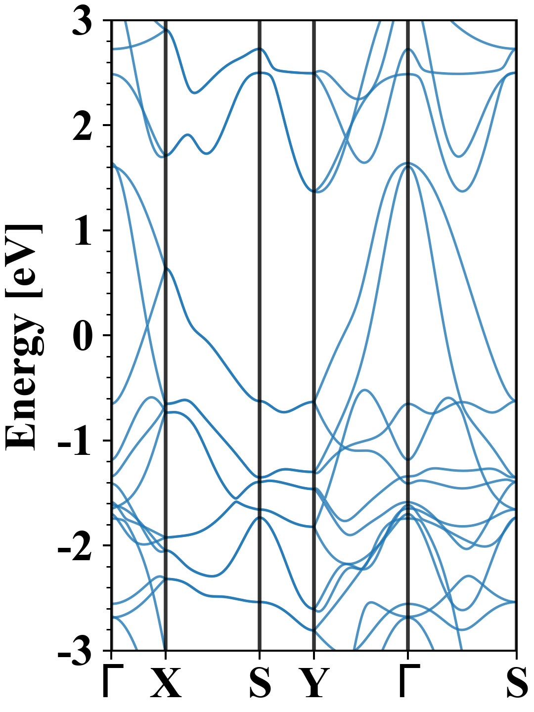
| Band gap (PBE) (eV) |
0.00 |
| Free energy (eV) |
-21.665 |
| Free energy / atom (eV) |
-3.611 |
Lattice Parameters (basic)
| a, b, c (Å): | 5.769 | 3.398 | 30.000 |
| α, β, γ (°): | 90.000 | 90.000 | 90.000 |
Lattice Parameters (computed)
| a, b, c (Å): | 5.663 | 3.275 | 30.000 |
| α, β, γ (°): | 90.000 | 90.000 | 90.000 |
| Property |
Value |
| Band gap |
0.00 eV |
| E-fermi |
-3.609 eV |
| Vacuum level |
2.057 eV |
| VBM |
-3.610 eV |
| CBM |
-3.605 eV |
| Work function |
5.666 eV |
| Direct gap |
No |
| Property |
Value |
| Band gap |
0.00 eV |
| E-fermi |
-3.609 eV |
| Vacuum level |
2.057 eV |
| VBM |
-3.610 eV |
| CBM |
-3.605 eV |
| Work function |
5.666 eV |
| Cij (N/m) |
xx |
yy |
xy |
| xx |
57.006 |
17.105 |
0.000 |
| yy |
17.105 |
59.052 |
0.000 |
| xy |
0.000 |
0.000 |
20.083 |
| Phonon mode at Γ point (THz) |
| -3.973 |
| -0.020 |
| -0.011 |
| -0.005 |
| 1.580 |
| 3.099 |
| 4.094 |
| 4.132 |
| 4.268 |
| 4.855 |
| 5.053 |
| 5.315 |
| 5.465 |
| 5.705 |
| 5.942 |
| 6.018 |
| 6.728 |
| 6.847 |
| Property |
Value |
| from where |
c2db-1835 |