Co2I2S2
MatHub2d-1438-Co2I2S2
| Property |
Value |
| Space group |
(59, 'Pmmn') |
| Crystal system |
rectangular |
| Magnetic |
Yes |
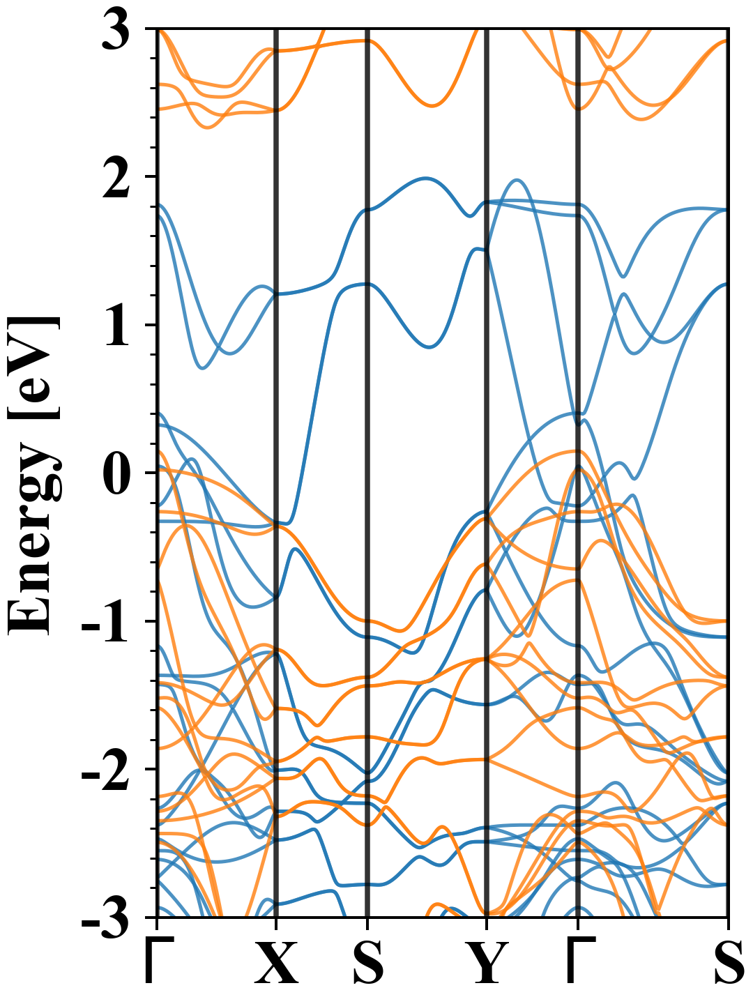
| Band gap (PBE) (eV) |
0.00 |
| Free energy (eV) |
-19.507 |
| Free energy / atom (eV) |
-3.251 |
Lattice Parameters (basic)
| a, b, c (Å): | 3.559 | 4.400 | 30.000 |
| α, β, γ (°): | 90.000 | 90.000 | 90.000 |
Lattice Parameters (computed)
| a, b, c (Å): | 3.525 | 4.572 | 30.000 |
| α, β, γ (°): | 90.000 | 90.000 | 90.000 |
| Property |
Value |
| Band gap |
0.00 eV |
| E-fermi |
-2.635 eV |
| Vacuum level |
2.800 eV |
| VBM |
-2.635 eV |
| CBM |
-2.635 eV |
| Work function |
5.435 eV |
| Direct gap |
No |
| Property |
Value |
| Band gap |
0.00 eV |
| E-fermi |
-2.635 eV |
| Vacuum level |
2.800 eV |
| VBM |
-2.635 eV |
| CBM |
-2.635 eV |
| Work function |
5.435 eV |
| Cij (N/m) |
xx |
yy |
xy |
| xx |
64.284 |
9.409 |
0.000 |
| yy |
9.409 |
74.448 |
0.000 |
| xy |
0.000 |
0.000 |
19.828 |
| Phonon mode at Γ point (THz) |
| -0.006 |
| -0.005 |
| -0.004 |
| 1.173 |
| 1.961 |
| 2.030 |
| 2.686 |
| 4.039 |
| 4.651 |
| 4.683 |
| 4.700 |
| 5.050 |
| 6.034 |
| 7.949 |
| 8.809 |
| 8.896 |
| 8.991 |
| 10.022 |
| Property |
Value |
| from where |
c2db-68 |