Co2I2N2
MatHub2d-1436-Co2I2N2
| Property |
Value |
| Space group |
(59, 'Pmmn') |
| Crystal system |
rectangular |
| Magnetic |
Yes |
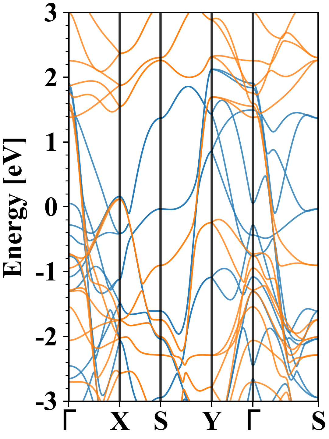
| Band gap (PBE) (eV) |
0.00 |
| Free energy (eV) |
-24.203 |
| Free energy / atom (eV) |
-4.034 |
Lattice Parameters (basic)
| a, b, c (Å): | 3.079 | 3.780 | 30.000 |
| α, β, γ (°): | 90.000 | 90.000 | 90.000 |
Lattice Parameters (computed)
| a, b, c (Å): | 3.094 | 3.859 | 30.000 |
| α, β, γ (°): | 90.000 | 90.000 | 90.000 |
| Property |
Value |
| Band gap |
0.00 eV |
| E-fermi |
-1.853 eV |
| Vacuum level |
3.210 eV |
| VBM |
-1.854 eV |
| CBM |
-1.852 eV |
| Work function |
5.063 eV |
| Direct gap |
No |
| Property |
Value |
| Band gap |
0.00 eV |
| E-fermi |
-1.853 eV |
| Vacuum level |
3.210 eV |
| VBM |
-1.854 eV |
| CBM |
-1.852 eV |
| Work function |
5.063 eV |
| Cij (N/m) |
xx |
yy |
xy |
| xx |
115.031 |
26.903 |
0.000 |
| yy |
26.903 |
134.699 |
0.000 |
| xy |
0.000 |
0.000 |
25.687 |
| Phonon mode at Γ point (THz) |
| -1.246 |
| -0.976 |
| -0.661 |
| -0.011 |
| 0.009 |
| 0.009 |
| 0.974 |
| 1.120 |
| 1.665 |
| 1.808 |
| 5.403 |
| 5.485 |
| 7.086 |
| 9.883 |
| 10.326 |
| 10.467 |
| 13.144 |
| 14.863 |
| Property |
Value |
| from where |
c2db-66 |