Cl4Y2
MatHub2d-1433-Cl4Y2
| Property |
Value |
| Space group |
(11, 'P2_1/m') |
| Crystal system |
rectangular |
| Magnetic |
Yes |
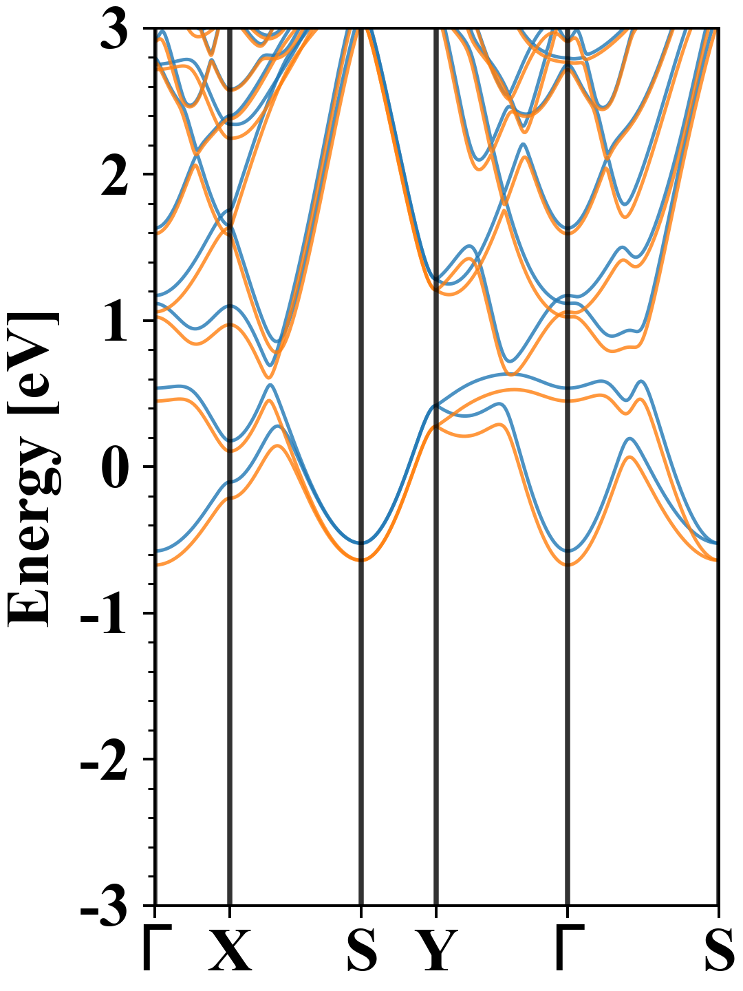
| Band gap (PBE) (eV) |
0.00 |
| Free energy (eV) |
-31.888 |
| Free energy / atom (eV) |
-5.315 |
Lattice Parameters (basic)
| a, b, c (Å): | 6.517 | 3.755 | 30.000 |
| α, β, γ (°): | 90.000 | 90.000 | 90.000 |
Lattice Parameters (computed)
| a, b, c (Å): | 6.523 | 3.736 | 30.000 |
| α, β, γ (°): | 90.000 | 90.000 | 90.000 |
| Property |
Value |
| Band gap |
0.00 eV |
| E-fermi |
-1.931 eV |
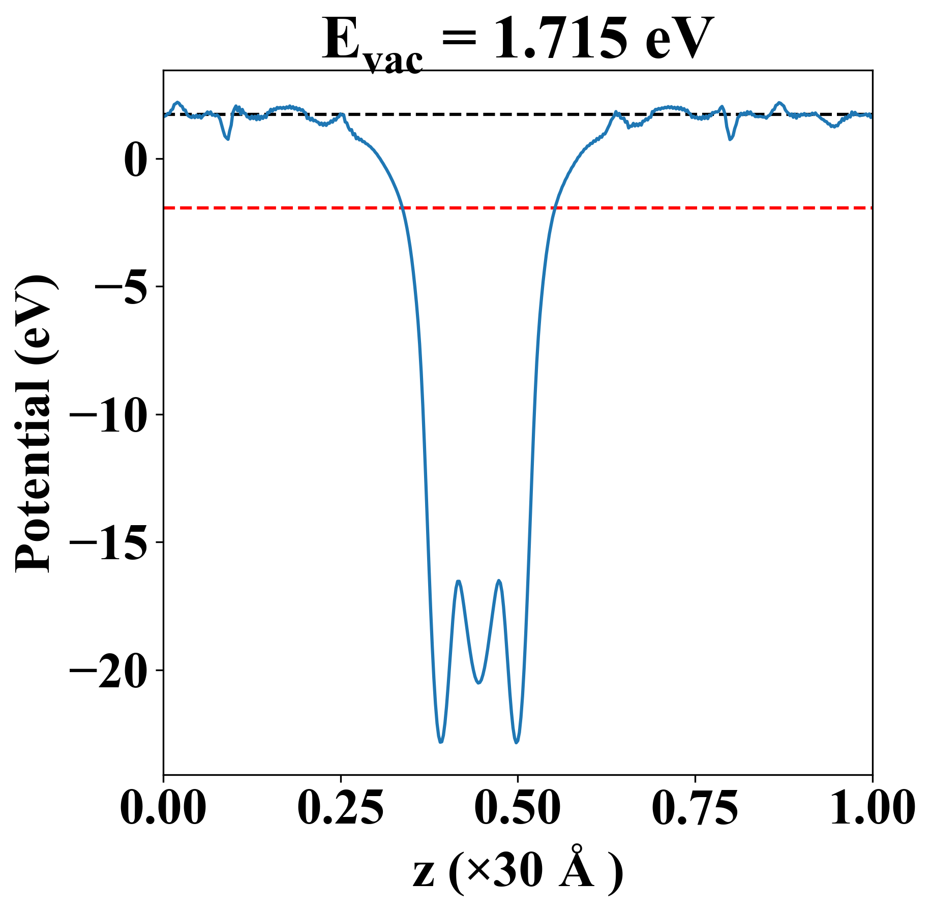
| Vacuum level |
1.715 eV |
| VBM |
-1.932 eV |
| CBM |
-1.931 eV |
| Work function |
3.647 eV |
| Direct gap |
No |
| Property |
Value |
| Band gap |
0.00 eV |
| E-fermi |
-1.931 eV |
| Vacuum level |
1.715 eV |
| VBM |
-1.932 eV |
| CBM |
-1.931 eV |
| Work function |
3.647 eV |
| Cij (N/m) |
xx |
yy |
xy |
| xx |
23.162 |
6.496 |
-0.000 |
| yy |
6.496 |
31.516 |
-0.000 |
| xy |
-0.000 |
-0.000 |
10.535 |
| Phonon mode at Γ point (THz) |
| Property |
Value |
| from where |
c2db-1956 |